转载

搜索引擎(0xFE)--- 用机器学习再谈排序

这里没有标记颜色,可能看起来重点不突出,可以去微信页面观看 这里

前面说排序的时候已经简单了说了一下排序的方法,包括三部分: 相关性排序,商品本身的属性排序,个性化排序 ,无论怎么排,大体上都逃不掉这三项。

最近看到一篇文章 有赞搜索引擎实践(算法篇) ,中间有一段也说了如何对商品本身的属性进行排序,感兴趣的也可以去看看。

今天,说说如何用机器学习的办法来进行排序( 商品本身的属性排序 )。

说起机器学习,是个很大的话题,我也不是专家,但是至少用机器学习这个工具还是没什么大问题的,今天我们深入一下机器学习中的 逻辑回归 ,看看如何用逻辑回归来进行排序。

我尽量不会用大量公式,尽量用说人话的方式说一下机器学习的逻辑回归,有些东西我会直接给出结论,如果感兴趣的可以去查资料,好了,开始吧,看我们如何从数据开始,一步一步来做到商品属性的排序的。

前期准备

  • 首先,我们确定一下背景,就是在什么场景下排序,假设我们是一个电商搜索引擎,搜索的数据就是各种各样的商品,并且通过关键字,很多商品的打分是一样的,无法进行区分了,所以需要对这些商品进行商品质量的排序。

  • 然后,我们有哪些数据可以用来进行排序呢?为了简单起见,我们假设我们有最近半年的每个商品的 销量 ,每个商品的 收藏数量 ,每个商品的 点击次数 这三种数据。

目标

我们有每个商品的 销量 ,每个商品的 收藏数量 ,每个商品的 点击次数 这三种数据,那我们的目标是什么呢?

既然要确定好还是不好,那么必然最后我们会给每个商品打一个分,分越高越好,我们有上面的数据,那么这个分数我们这么来定义(没有使用点击次数是为了后面说明比较直观,把点击当结果了)

Score = a1*销量 + a2*收藏数量

我们的目标就是求出a1和a2来(请牢记这一目标) ,那么以后我们每看到一个商品,用上面这个分数公式一算,就知道这个商品多少分了。

衡量商品

我们的目标是把 的商品排在前面,怎么样来衡量一个商品是好还是不好呢?有种直观的办法来确定,找一群人,然他们凭直观感觉搜索结果中排前面的商品好不好

但这里我们用个简单的办法,就是 商品被点击超过10次,我们认为就是好商品,而我们有最近半年的数据,所以我们知道哪些是好商品,哪些是不好的商品

开始排序

好了,前期准备工作完成了,目标也确定了,我们开始机器学习的排序了。

我们使用的是 逻辑回归 的方法,如果看维基百科的定义的话,不见得你能明白,我们这里就不做名词解释了,你把它看成一个方法就行了。

为了简单起见,我们假设一共只有6个商品,他们的销量和收藏数量分别是下表,现在,我们一步一步来完成对目标a1和a2的求解。

商品 销量 收藏量
A1 50 (1.69) 20(1.30)
A2 30(1.47) 60(1.77)
A3 500(2.70) 60(1.77)
B1 30(1.47) 5(0.70)
B2 5(0.70) 30(1.47)
B3 1(0) 10(1.00)

数据归一化

首先,我们需要做的是将数据标准化,也就是归一化。

为什么要归一化数据呢?比如上表中的A3,他的销量是500,和其他的所有的商品的销量差别特别大,所以如果用 a1*销量 + a2*收藏数量 这个公式来计算分数的话,它就特别占便宜,随随便便就排到前面去了,但是有可能这个商品只是搞了一次1折促销,所以销量突然变大的,对于这种情况,我们就要通过归一化把数据变得尽量在一个可控的区间中。

数据归一化的方法比较多,我们这里用个简单的,直接取log值来归一化,那么上面的数据就被归一化到一个可控的范围内了,这样计算分数的时候一些突变数据就很难占便宜了,上面数据后面括号里面就是归一化以后的数,比较靠谱了吧。

sigmoid函数

到这里,我们目前已经拥有了下面的东西

  • 上面表的归一化好的数据

  • 一个计算分数的公式: a1*销量 + a2*收藏数量

如果商品的 好和坏用1和0表示 的话,要是我们能将上面的计算分数的公式和好坏联系起来就好了,好了,直接出结论,真有这样的函数,这个函数叫 sigmoid函数 ,他长成这样:

搜索引擎(0xFE)--- 用机器学习再谈排序

这个可以将任何东西变成0到1之间的值,我们再取巧一点,在0到1之间如果大于0.5我们就认为是1,小于0.5我们认为是0的话,那么这个 算分公式就和好坏联系起来了

根据已知的条件,我们可以列出下面的东西

A1的好坏值 = sigmoid( a1*A1的销量 + a2*A1的收藏数量 )

A2的好坏值 = sigmoid( a1*A2的销量 + a2*A2的收藏数量 )

A3的好坏值 = sigmoid( a1*A3的销量 + a2*A3的收藏数量 )

B1的好坏值 = sigmoid( a1*B1的销量 + a2*B1的收藏数量 )

B2的好坏值 = sigmoid( a1*B2的销量 + a2*B2的收藏数量 )

B3的好坏值 = sigmoid( a1*B3的销量 + a2*B3的收藏数量 )

好了,到这一步,我们的原始数据(销量,收藏数量)就和商品的好坏联系起来了。

代价函数

至此,我们已经有了以下几个东西了:

  • 上面表的归一化好的数据

  • 一个计算分数的公式: a1*销量 + a2*收藏数量

  • 一个计算商品好坏的公式:sigmoid( a1*商品销量 + a2*商品收藏数量 )

除了上面的,我们还有 5个月的真实数据,也就是我们知道每个商品实际是否真被点击了,如果我们按照上面衡量商品的方法统计一下,我们就得到了一批真实的好商品和一批真实的坏商品,假设分别是A1,A2,A3和B1,B2,B3 ,如果我们找到一个a1和a2,用计算商品好坏的公式把所有商品一算,如果和真实的好坏一致,那么a1和a2就是我们要找的目标了。

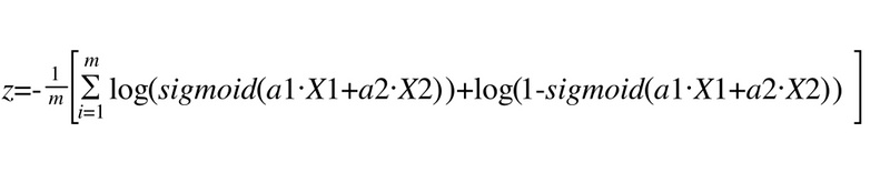
那么,怎么来描述我们算的结果和实际结果的差异呢?这里再引入一个公式(这是最后一个公式),我不做推导了,直接给出来,这个公式长成这样子,它表示每一个商品预测的好坏和实际的好坏的差异

-log(sigmoid( a1*销量 + a2*收藏数量 )) — 实际被点击的时候-log(1 - sigmoid( a1*销量 + a2*收藏数量 ) ) — 实际没有被点击的时候

有了这个公式,那么总体的差异就是每个商品的差异求和除以商品数了,我们叫代价函数,就是下面这个公式,X1和X2对应的就是销量和收藏数量,m表示一共有多少个商品,代价函数的值越小,那么对应的a1和a2就越接近我们需要的值。

搜索引擎(0xFE)--- 用机器学习再谈排序

开始求解

至此,我们有了以下内容了

  • 上面表的归一化好的数据

  • 一个计算分数的公式: a1*销量 + a2*收藏数量

  • 一个计算商品好坏的公式:sigmoid( a1*商品销量 + a2*商品收藏数量 )

  • 实际每个商品的好坏A1,A2,A3为好商品,B1,B2,B3为坏商品

  • 有一个预测值和实际值比较差异的代价函数,可以用来判断我们预测得准不准

通过上面这么些步骤,最后,我们通过 代价函数 将我们通过销量和收藏 预测出来的点击实际的点击 联系起来了,终于,我们 完成了数据到商品实际好坏(是否真的被点击)的联系

我们通过 代价函数 将我们通过销量和收藏 预测出来的点击实际的点击 联系起来了,终于,我们 完成了数据到商品实际好坏(是否真的被点击)的联系

我们通过 代价函数 将我们通过销量和收藏 预测出来的点击实际的点击 联系起来了,终于,我们 完成了数据到商品实际好坏(是否真的被点击)的联系

重点说三遍,相当于我们的排序模型已经建立起来了

梯度下降

好了,前面铺垫了这么多,终于要开始求解a1和a2了。

首先,我们有一个函数,这个函数是上面的最后一个公式,我们再写一遍

搜索引擎(0xFE)--- 用机器学习再谈排序

这里的a1和a2是未知数,也就是我们要求的,其他的都是已知的,通过已有的六个月的销量和收藏的值,以及不断变化a1和a2,我们可以画出这个函数的三维图像(我直接用mac的画图软件画的,和数据对应不上,但不影响我们的分析),其中X,Y轴分别表示a1和a2,Z轴表示代价函数的值。

搜索引擎(0xFE)--- 用机器学习再谈排序 我们要求的a1和a2,实际上就是这个代价函数的最小值的情况下的a1和a2,也就是图像中蓝色的区域对应的a1和a2值。

通过上面这么多步骤,我们终于把求a1和a2变成了求一个函数的最小值。

要求解出这个函数的最小值,接下来就看计算机的了,一个一个去试呗,看看哪两个参数下,整体的代价函数值最小,那么就用这个a1和a2了。呵呵,傻子也看得出来这一个一个试的方法有多傻。

机器学习之所以叫机器学习,那么至少需要体现出来学习的能力吧,怎么体现呢?

一个一个值去试显然不是机器学习,那叫穷举,机器学习就是我先试一个值,然后看看和实际结果有多少差异,然后去调整这个值,让新的结果和实际结果的差距变小,直到差距变得最小,这样的过程才叫机器学习。

我们通过一个叫梯度下降的迭代运算,可以得出满足差异最小化的a1和a2的值,什么叫梯度下降我这里不描述了,感兴趣的可以自己去查资料,因为这一部分涉及的数学内容太多,我也描述得不好,大家看着也没兴趣。真正感兴趣的可以自己去查查资料。

简单来说,就是先随便选一个a1和a2,比如下图中的红色部分的白点,计算出一个代价函数的值,然后通过求代价函数的偏导数,我们就知道了如何调整这个a1和a2,那么通过一步一步的迭代循环(这一步一步的迭代就是机器学习的过程了),沿着白点的路径,我们就可以走到图像蓝色的部分,从而得到满足最小值的a1和a2,这样可以通过有限的几次迭代运算,而不用求出全部的a1和a2来得到最小值。

搜索引擎(0xFE)--- 用机器学习再谈排序

现在,通过梯度下降的算法,就求出a1和a2了,我们的目标也就达成了。

使用a1和a2

好了,上面通过一系列步骤,a1和a2已经求出来了,使用起来就简单了,碰到任何一个商品,通过上面的算分公式 a1*销量 + a2*收藏数量 就可以直接算出来这个商品的分数,在排序的时候按这个分数排序就行了。

评估

有了这个a1和a2,我们如何来评估好还是不好呢?

我们不是有最近半年的数据么,那么我们只用其中5个月的数据来计算a1和a2,然后用最后一个月的数据来测试,把数据套入公式中看看预测的点击和真实的点击准不准,准确度越高那么就越有效。

当然,最直接的办法还是上线以后做AB测试,看用户买单不买单了。

写在后面的话

这篇文章我尽量没有特意去写逻辑回归的数学原理,只是用工程化的思想将排序的方式说了一遍,没有特别涉及数学原理,如果感兴趣我可以再写一篇来说说逻辑回归的数学原理,不过估计看的人少,我也怕我这半桶水写不好,呵呵。

上面的方法我们使用了销量和收藏数据,其实任何一个你认为可能会影响排序的因素都可以用来排序,每一个因素叫一个feature,比如发货速度,购物车添加次数,最近7天点击次数,最近一个月点击次数,评论数,好评数,图片数量,发货范围,甚至包括图片的好看程度,这样,求a1和a2就变成了求a1,a2...an了,每个因素对应一个权重,算法没有任何区别。

如果我们有个特别牛逼的专家,他说别算了,也别搞那么多因素,就选销量和收藏数量,按我的直觉来,拍一个权重:a1等于0.9,a2等于0.1,结果一上线,效果出奇的好,用户哗哗点击,哗哗下单啊。有没有这种可能呢???当然有!!因为机器学习的方法来计算排序,本质上是因为我们有大量的数据而人工无法处理,我们觉得这些数据有用,于是我们想出来机器学习的办法来使用这些数据,最后的可解释性其实不强,你算出来a1等于0.86,a2等于0.14,为什么呢??看似一步一步都是按照数学公式来的,但其实不好解释,就和人的直觉一样,不见得比专家的直觉强。

好了,本篇结束,你有什么问题可以留言,但可能我也答不出来,所以不见得会回哦。。

最后,欢迎关注我:)主要说说搜索,推荐,广告的架构和算法,以及一个搜索引擎的实现,有时也会瞎扯一下

搜索引擎(0xFE)--- 用机器学习再谈排序

之前文章可以看这里:

用Golang写一个搜索引擎(0x00)--- 从零开始

用Golang写一个搜索引擎(0x01)--- 基本概念

用Golang写一个搜索引擎(0x02)--- 倒排索引技术

用Golang写一个搜索引擎(0x03)--- 跳跃表,哈希表

用Golang写一个搜索引擎(0x04) --- B+树

用Golang写一个搜索引擎(0x05)--- 文本相关性排序

用Golang写一个搜索引擎(0x06)--- 索引构建

用Golang写一个搜索引擎(0x07)--- 正排索引

用Golang写一个搜索引擎(0x08)--- 索引的段

用Golang写一个搜索引擎(0x09)--- 数据增,删,改

用Golang写一个搜索引擎(0xFF)--- 搜索引擎排序
原文  https://segmentfault.com/a/1190000005088790
正文到此结束
Loading...