转载

抛硬币十次正面,第十一次正面的概率是多少? | AlgorithmDog

我们抛硬币,前十次都是正面,那么第十一次正面的概率是多少?

抛硬币十次正面,第十一次正面的概率是多少? | AlgorithmDog

看到上图,估计大伙已经知道我在吐槽啥了。一种答案是50%,另一种答案是。

1. 联合概率和条件概率

抛硬币是一个典型的伯努利过程。硬币正面朝上的概率用表示,抛的次数用 n 表示,正面的次数用 t 表示,表示第 i 次硬币正面。

第十一次为正面的概率是多少?这个问题首先是一道语文题。我们得搞清楚,当我们问第十一次为正面的概率是多少,我们到底问了啥。回答的人,认为问题是条件概率或者是(和前面结果独立)。回答的人,认为问题是联合概率。

明确条件概率和联合概率概念之后,“第十一次正面的概率是多少(在前面十次正面的情况下)?” 是在问条件概率,而不是问联合概率。因此这不是一个数学题,而是一个语文题。

2. 贝叶斯

在生活场景下,回答第十一次正面的概率 0.5 是 OK 的。因此在生活中,我们一般认为硬币是无偏的。不过贝叶斯学派的童鞋们有不同的话说。如果抛硬币正面的概率,那么前面十次都是正面的概率就是 抛硬币十次正面,第十一次正面的概率是多少? | AlgorithmDog 。不太可能吧,那么小的概率都被我们碰到。因此贝叶斯的童鞋们认为,这个硬币倾向于正面。

在抛硬币问题上,贝叶斯公式如下所示。

(1)   抛硬币十次正面,第十一次正面的概率是多少? | AlgorithmDog

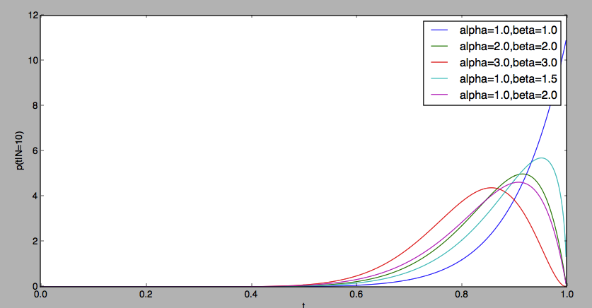
按照这个公式,贝叶斯关心概率的概率。计算这个概率的概率之前,我们需要先验概率。对于抛硬币这个伯努利过程,一般用 Beta 分布做先验概率,Beta 分布的公式如下所示。

(2)   抛硬币十次正面,第十一次正面的概率是多少? | AlgorithmDog

其中和是 Beta 分布的两个参数。计算的后验概率。

(3)   抛硬币十次正面,第十一次正面的概率是多少? | AlgorithmDog

概率密度分布示意图如下所示。

抛硬币十次正面,第十一次正面的概率是多少? | AlgorithmDog

那么按照贝叶斯方法,第十一次正面的概率是多少?不好意思,贝叶斯方法并不能计算出这个,但贝叶斯方法能够计算后验概率。根据后验概率,我们能计算以一定的概率处于一定范围。

3. 区间估计

其实我们还可以用区间估计来解决这个问题。针对参数, 区间估计算出一个区间 [,],其中是两个统计量。随机区间 [,] 覆盖参数的概率被称为覆盖概率,表示为。覆盖概率的最小值被称为置信度,表示为。对于置信度为 1-的区间估计,我们有

(4)   抛硬币十次正面,第十一次正面的概率是多少? | AlgorithmDog

其中是未知的先验概率。相比贝叶斯的做法,区间估计不需要具体的先验概率。按照上面的公式,参数在区间的可能性大于 1 –。

虽然伯努利过程简单,但相关的区间估计都有缺陷。相关的区间估计包括 Wald interval、Wilson score interval、Jeffreys interval、Clopper-Pearson interval 和 Agresti-Coull Interval 等等。我们用适用于极端情况的 Wilson score interval 做例子。Wilson score interval 的计算公式如下所示。

(5)   抛硬币十次正面,第十一次正面的概率是多少? | AlgorithmDog

我们用模拟方法计算 Wilson score interval 的覆盖概率,其中参数设置为,结果如下图所示。可以发现覆盖概率有时会低于置信度,说明 Wilson score interval 存在缺陷。这时我们不能说: 至少 1-的可能性,参数属于 Wilson score interval。不过我们也发现,覆盖概率一直保持较高的水平。我们很有信心属于 Wilson score interval。

抛硬币十次正面,第十一次正面的概率是多少? | AlgorithmDog

回到之前的问题。抛了十次全部为正,则。再令。按照公式计算得,即得区间 [0.722,1]。我们很有信心地认为第十一次正面的概率处于 0.722 和 1 之间。

4. 总结

当然啦,硬币可能立起来,哈哈哈。

抛硬币十次正面,第十一次正面的概率是多少? | AlgorithmDog

最后欢迎关注我的公众号 AlgorithmDog,每周的更新就会有提醒哦~

抛硬币十次正面,第十一次正面的概率是多少? | AlgorithmDog

原文  http://www.algorithmdog.com/ten-positive-eleven
正文到此结束
Loading...