转载

教机器学习表示

让机器来理解人类语言一直都是人工智能的梦想,从词、短语、句子、段落到文档,每个层次的文本都承载着语义,机器对各个层次文本的理解都需要先对文本进行表示,用机器看的明白的形式来表示。那么,今天就来分享一篇关于表示的综述文章。

问题描述

从人类理解文本的角度来看,理解一篇文档需要理解其中的每个段落,而理解段落需要理解每个段落的每句话,理解每句话就得理解每句话中的每个词。所以,表示一篇文档,需要从表示一个词、一句话开始。关于词的表示,在之前很长一段时间都流行的是one-hot模型,每一个词都用一个词表大小的向量表示,向量中该词所在的位置是1,其余都是0,而句子或者文档的表示,以前都是用bag-of-words模型,该文本用一个词表大小的向量表示,向量中的元素表示对应位置的词的个数。这两种经典的模型用了很久,有一些非常明显的缺点,比如:规模太大,太过稀疏,没有考虑词序信息,而词序又是一种非常有用的信息。

终于,在神经网络语言模型的帮助下,词向量(word embedding)出现了[1],最初词向量是语言模型的一个副产物,后来随着word2vec的热潮,词向量几乎成了NLP中模型的标配,紧接着就是sentence2vec,document2vec,everything2vec,整个世界都被vector表示了。词向量与之前的one-hot模型不同,用了一些低维的、稠密的实数向量来表示,虽然说不清每个维度都表示什么,但用起来效果就是棒。

本文要探讨的问题是如何学习用低维的、稠密的实数向量来表示词、句子和文档。

语料

对于监督学习来说,需要找到一些分好类的语料进行训练,比如情感分析、新闻分类之类的数据。

对于无监督学习来说,只需要找到大量的文本进行训练即可。

模型

关于词、句子表示的模型实在是太多了,本文只选择PaperWeekly中读过的paper里的模型。

首先介绍的是词表示模型。

教机器学习表示

1、CBOW模型[2]

1、2都是word2vec的模型,整体的思路差不多,都是用context来预测word(skip-gram是用word来预测context,把context和word的概念对等交换一下都一样的。),典型的语言模型。之前Bengio[1]的文章提出用词向量来表示一个词,通过前面的n个词来预测下一个词,重点关注的是词的生成情况,并没有对词向量本身进行探讨。而word2vec的作者Tomas Mikolov重点研究的是词向量,并不在意语言模型的部分,所以这里在各种先前研究成果的基础上进行了大量地“偷工减料”,以达到快速求解词向量的目的。

如左图,该模型将每个词赋以一个n维向量初值,将context中的每个词向量求和来表示context,拿来预测目标词,不断地训练得到最终的词向量。

2、SKIP-GRAM模型[2]

如右图,该模型与CBOW类似,只是用word来预测context。

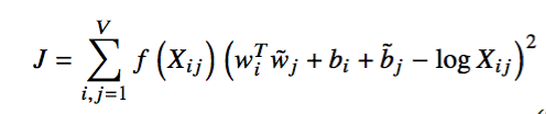
3、GloVe模型[3]

该模型的思路是将全局词-词共现矩阵进行分解,训练得到词向量。整体上的思路和推荐系统当年横扫Netflix百万美元比赛的LFM模型类似,也和信息检索中LSI的思路类似。不同的地方是,本文采用的词-词共现矩阵比起词-文档矩阵更加稠密,模型中对低频词和高频词的影响做了一定地弱化处理。模型的目标函数如下:

教机器学习表示

这里的f(x)是一个权重函数,具有以下的特点:

(a) f(0) = 0

(b) f(x)是增函数,这样低频词不会被over weight。

(c) 当x很大时,f(x)相对小一些,这样高频词也不会被over weight。

根据以上的特点,作者构造了下面的函数:

教机器学习表示

其次介绍的是句子表示模型。

1、PV-DM模型[4]

教机器学习表示

句子模型1和2是word2vec作者的进一步工作,乍一看模型和CBOW很像。不同的地方在于,输入中多了一个paragraph vector,可以看做是一个word vector,作用是用来记忆当前上下文所缺失的信息,或者说表征了该段落的主题。这里,所有的词向量在所有段落中都是共用的,而paragraph vector只在当前paragraph中做训练时才相同。后面的过程与word2vec无异。

2、PV-DBOW模型[4]

教机器学习表示

这个模型看着雨SKIP-GRAM很像。这两个模型都是无监督学习模型,在准备数据时需要给每个paragraph定义一个id,以区分不同的paragraph。

3、Skip Thought Vectors模型[5]

教机器学习表示

本模型是一个无监督句子表示模型,借鉴了word2vec中skip-gram模型,通过一句话来预测这句话的上一句和下一句。模型采用了当下流行的seq2seq框架,通过搜集了大量的小说作为训练数据集,将得到的模型中encoder部分作为feature extractor,可以给任意句子生成vector。

4、Sequence AutoEncoder LSTM模型[9]

教机器学习表示

该模型利用自编码器来进行sentence表示,从图中可以看得出是一种端到端的学习,只不过这里的input和target是同一句话。模型中用LSTM来对文本进行建模,整个过程和之前分享的seq2seq并无区别,属于比较简单的模型。

5、Hierarchical Attention AutoEncoder模型[8]

教机器学习表示

这个模型在模型4的基础上,用了分层和注意力的思想,更加复杂。在encoder部分,对每一个word进行表示,同时也对每一个sentence进行表示,用每句话最后一个词的state作为该句子的state,并且将每句话的表示综合起来作为整个输入的输出,也就是context。在decoder部分,生成词的时候会使用attention机制,在确定和input中哪句话的关系更加密切。

6、CNN模型[6]

教机器学习表示

这个模型是CNN在NLP中得到应用的一个比较早的模型,也是一个有监督模型。用一个k维向量表示一个词之后,很容易将一句话表示成一个矩阵,矩阵中的每一行都是一个词向量。那么既然得到了矩阵表示,很容易套用CNN在二维图像中的处理方法,一层层地堆叠起来,得到sentence的表示。只是说卷积窗口的选择,有两种思路,一种是窗口大小就是k,每一次卷积其实就相当于从n-gram中提取feature;另外一种思路是窗口大小小于k,和CNN处理图像类似的思路,从几个词的不同部分来提取feature。本模型采用的是第一种方式。

7、RCNN模型[7]

教机器学习表示

该模型是一个RNN和CNN的组合模型,CNN的卷积层用一个双向RNN模型来做,既用双向RNN弥补了CNN模型卷积窗口大小固定的问题,又利用了CNN提取feature的强大能力。这个模型也非常好地体现了deep learning模型的灵活性和组合性,不同类型的single模型通过一定的方式进行组合,可以衍生出多种多样的模型,很难从理论上讲哪个模型会更好,因为single模型都各有各的优点和缺点。该模型是一个有监督模型。

结果

本文只对比一下各个sentence表示模型的结果。

  • Stanford Sentiment Treebank Dataset

    教机器学习表示

在这个数据集上,居然是无监督的Paragraph Vector模型效果最好,虽然也好不到哪里去,但至少不比有监督学习的模型差。

  • 多种分类数据集

    教机器学习表示

    这里的评价指标是分类正确率,从结果上看CNN作为一个有监督学习的模型好于另外两个无监督的模型,仅仅在SUBJ这个数据集上稍落后于skip thought vectors模型。

  • 对比CNN和RCNN[7]

    教机器学习表示

    这个对比结果来自RCNN模型的paper,很显然RCNN在作者选的几个数据集上都由于CNN,可以大胆推测一下,RCNN应该在第二类数据集上也能优于无监督模型。

思考

词表示、句子表示等各种层次上的表示有着各种各样的模型,几乎在arxiv上每天都可以刷出一篇文章是做这方面的,都说自己的模型是state-of-the-art。对于这个领域,我有下面几点思考:

1、关于对比结果的事情。数据集的不同、数据规模的不同、模型的不同、模型超参数的不同都会导致不同的结果和结论,在对比的过程中,我们往往是用尽浑身解数调出最好的参数给出一个最好结果,而对于对比的模型,往往就没有这么上心了,复现别人的模型或者用别人开源的代码来对比的时候,可能很难调出该作者模型的最优参数,所以每篇paper的结果也总是有一些出入,从上面的结果中也能看得出,同一个数据集,在不同paper作者复现下结果也是不同的。而且,对比的结果与所选的数据集也有很大的关系,有的模型在某一些数据集上表现非常好,然而在另外一些上就不那么尽如人意了,这也是一个对比的技巧吧,但真正在工程应用上,还是需要在自己的数据上做对比实验,而不是用所谓的“理论”来剖析哪种模型更牛逼。因为毕竟deep learning是data driven的模型,效果的好坏与数据有着直接的关系。

2、读了一些paper之后,看过很多别人的思路和model,有一个感觉就是思维一定要更宽一些。单模型效果一般的时候,可以考虑试一下组合模型,比如RCNN,可以考虑下端到端模型,比如Autoencoder和skip thought vector,可以考虑下分层模型,比如Hierarchical Autoencoder。无监督模型效果一般的时候,可以考虑用无监督作初值,代入到有监督模型中进行训练,一般来说会比纯粹的有监督或者无监督模型效果更好一些。模型看多了,就会有一种感觉,做什么事情的时候,可选的东西就会特别多,思路就会特别多,所谓精神病人思路广吧。

3、词向量的用法,得到一个好的词表示之后,可以用来做什么呢?首先可以继续表示句子,段落,然后做分类也好,计算相似度也罢;其次,可能会有一些比较好玩的东西,比如我用word2vec给自己之前写的应用rsarxiv(一个arxiv paper的推荐系统)做了一个paper knowledge graph,把author,subject,keywords连成了一张大图,在推荐paper的同时可以推荐其他的一些metadata,带来了更好的用户体验。同样的道理,有的人用这个来做app推荐,也有不错的效果。所以,我在想,一个模型其实不仅仅是一个用于特定事情的模型,如果你有很强的抽象问题的能力,你可以看得穿问题的本质,就可以很容易地将特定领域的模型应用于其他领域,有可能还会形成突破。

参考文献

[1] A Neural Probabilistic Language Model

[2] Efficient Estimation of Word Representations in Vector Space

[3] GloVe: Global Vectors for Word Representation

[4] Distributed Representations of Sentences and Documents

[5] Skip-Thought Vectors

[6] Convolutional Neural Networks for Sentence Classification

[7] Recurrent Convolutional Neural Networks for Text Classification

[8] A Hierarchical Neural Autoencoder for Paragraphs and Documents

[9] Semi-supervised Sequence Learning

如果大家觉得有写的不够清楚的地方或者错误的地方,欢迎留言交流。

工具推荐

PaperWeekly,每周会分享N篇nlp领域好玩的paper,旨在用最少的话说明白paper的贡献,欢迎大家扫码关注。

教机器学习表示

知乎专栏 paperweekly

原文  http://rsarxiv.github.io/2016/06/29/教机器学习表示/
正文到此结束
Loading...