转载

关于递归的思考

之前有接触过递归,看到别人写的递归函数的代码,好生羡慕,怎么就能写这么好呢?我怎么就想不到这样写呢?如此等等。

就拿fibonacci函数来说吧,一个普通的函数可能这样写:

def fib(n):     if n == 0:         return 0     elif n == 1:         return 1     else:         return fib(n-1) + fib(n-2)

我看到这个函数的思考方式是这样的:

1. 当n=0时:返回0 2. 当n=1时:返回1 3. 当n=2时:     1. 首先去调用n=1,返回1     2. 再去调用n=0,返回0     3. 把0和1相加返回1 4. 当n=3时:     1. 调用n=2         1. 调用n=1,返回1         2. 调用n=0,返回0         3. 相加返回1     2. 调用n=1,返回1     3. 把1和1相加返回2 5. 等等

想到这我头都要爆了,彻底被人家的函数折服了,看来我是写不成这么好的函数了。

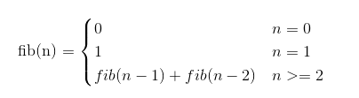
但我转念一想,这个函数的本质是fibnacci序列,我何不回归fibonacci本身呢?fibonacci用数学公式表示应该是这样:

关于递归的思考

看到公式我恍然大悟,上面那个函数不就是根据这个公式直接翻译的嘛!原来我一直思考都是顺着函数的代码思考,这样肯定会觉得很难,

正确的思考方式应该是从算法出发然后再写代码。

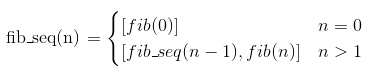
经过了上面的惨痛教训看看我能不能写出正确的fibonacci序列函数,分段函数的公式应该是这样的:

关于递归的思考

那么直接写成代码就应该是这样的:

def fib_seq(n):     seq = []     if n == 0:         seq.append(0)     else:         seq.extend(fib_seq(n-1))         seq.append(fib(n))     return seq

咦,这两个append好像可以合并:

def fib_seq(n):     seq = []     if n > 0:         seq.extend(fib_seq(n-1))     seq.append(fib(n))     return seq

哇,原来如此!

原文  https://segmentfault.com/a/1190000006036198
正文到此结束
Loading...