转载

自己动手做聊天机器人 二十五-google的文本挖掘深度学习工具word2vec的实现原理

自己动手做聊天机器人 二十五-google的文本挖掘深度学习工具word2vec的实现原理

词向量是将深度学习应用到NLP的根基,word2vec是如今使用最广泛最简单有效的词向量训练工具,那么它的实现原理是怎样的呢?本文将从原理出发来介绍word2vec

请尊重原创,转载请注明来源网站www.shareditor.com以及原始链接地址

你是如何记住一款车的

问你这样一个问题:如果你大脑有很多记忆单元,让你记住一款白色奥迪Q7运动型轿车,你会用几个记忆单元?你也许会用一个记忆单元,因为这样最节省你的大脑。那么我们再让你记住一款小型灰色雷克萨斯,你会怎么办?显然你会用另外一个记忆单元来记住它。那么如果让你记住所有的车,你要耗费的记忆单元就不再是那么少了,这种表示方法叫做localist representation。这时你可能会换另外一种思路:我们用几个记忆单元来分别识别大小、颜色、品牌等基础信息,这样通过这几个记忆单元的输出,我们就可以表示出所有的车型了。这种表示方法叫做distributed representation,词向量就是一种用distributed representation表示的向量

localist representation与distributed representation

localist representation中文释义是稀疏表达,典型的案例就是one hot vector,也就是这样的一种向量表示:

[1, 0, 0, 0, 0, 0……]表示成年男子

[0, 1, 0, 0, 0, 0……]表示成年女子

[0, 0, 1, 0, 0, 0……]表示老爷爷

[0, 0, 0, 1, 0, 0……]表示老奶奶

[0, 0, 0, 0, 1, 0……]表示男婴

[0, 0, 0, 0, 0, 1……]表示女婴

……

每一类型用向量中的一维来表示

而distributed representation中文释义是分布式表达,上面的表达方式可以改成:

性别 老年 成年 婴儿

[1,       0,      1,      0]表示成年男子

[0,       0,      1,      0]表示成年女子

[1,       1,      0,      0]表示老爷爷

[0,       1,      0,      0]表示老奶奶

[1,       0,      0,      1]表示男婴

[0,       0,      0,      1]表示女婴

如果我们想表达男童和女童,只需要增加一个特征维度即可

word embedding

翻译成中文叫做词嵌入,这里的embedding来源于范畴论,在范畴论中称为morphism(态射),态射表示两个数学结构中保持结构的一种过程抽象,比如“函数”、“映射”,他们都是表示一个域和另一个域之间的某种关系。

范畴论中的嵌入(态射)是要保持结构的,而word embedding表示的是一种“降维”的嵌入,通过降维避免维度灾难,降低计算复杂度,从而更易于在深度学习中应用。

理解了distributed representation和word embedding的概念,我们就初步了解了word2vec的本质,它其实是通过distributed representation的表达方式来表示词,而且通过降维的word embedding来减少计算量的一种方法

word2vec中的神经网络

word2vec中做训练主要使用的是神经概率语言模型,这需要掌握一些基础知识,否则下面的内容比较难理解,关于神经网络训练词向量的基础知识我在《 自己动手做聊天机器人 二十四-将深度学习应用到NLP 》中有讲解,可以参考,这里不再赘述。

在word2vec中使用的最重要的两个模型是CBOW和Skip-gram模型,下面我们分别来介绍这两种模型

CBOW模型和Skip-gram模型

CBOW全称是Continuous Bag-of-Words Model,是在已知当前词的上下文的前提下预测当前词

自己动手做聊天机器人 二十五-google的文本挖掘深度学习工具word2vec的实现原理

CBOW模型的神经网络结构设计如下:

输入层:词w的上下文一共2c个词的词向量

投影层:将输入层的2c个向量做求和累加

输出层:一个霍夫曼树,其中叶子节点是语料中出现过的词,权重是出现的次数

我们发现这一设计相比《 自己动手做聊天机器人 二十四-将深度学习应用到NLP 》中讲到的神经网络模型把首尾相接改成了求和累加,这样减少了维度;去掉了隐藏层,这样减少了计算量;输出层由softmax归一化运算改成了霍夫曼树;这一系列修改对训练的性能有很大提升,而效果不减,这是独到之处。

基于霍夫曼树的Hierarchical Softmax技术

上面的CBOW输出层为什么要建成一个霍夫曼树呢?因为我们是要基于训练语料得到每一个可能的w的概率。那么具体怎么得到呢?我们先来看一下这个霍夫曼树的例子:

自己动手做聊天机器人 二十五-google的文本挖掘深度学习工具word2vec的实现原理

在这个霍夫曼树中,我们以词足球为例,走过的路径图上容易看到,其中非根节点上的θ表示待训练的参数向量,也就是要达到这种效果:当在投射层产出了一个新的向量x,那么我通过逻辑回归公式:

σ(xTθ) = 1/(1+e^(-xTθ))

就可以得出在每一层被分到左节点(1)还是右节点(0)的概率分别是

p(d|x,θ) = 1-σ(xTθ)

p(d|x,θ) = σ(xTθ)

那么就有:

p(足球|Context(足球)) = ∏ p(d|x,θ)

现在模型已经有了,下面就是通过语料来训练v(Context(w))、x和θ的过程了

我们以对数似然函数为优化目标,盗取一个网上的推导公式:

自己动手做聊天机器人 二十五-google的文本挖掘深度学习工具word2vec的实现原理

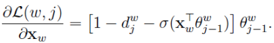
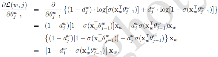
假设两个求和符号里面的部分记作L(w, j),那么有

自己动手做聊天机器人 二十五-google的文本挖掘深度学习工具word2vec的实现原理

于是θ的更新公式:

自己动手做聊天机器人 二十五-google的文本挖掘深度学习工具word2vec的实现原理

同理得出x的梯度公式:

自己动手做聊天机器人 二十五-google的文本挖掘深度学习工具word2vec的实现原理

因为x是多个v的累加,word2vec中v的更新方法是:

自己动手做聊天机器人 二十五-google的文本挖掘深度学习工具word2vec的实现原理

想想机器学习真是伟大,整个模型从上到下全是未知数,竟然能算出来我真是服了

请尊重原创,转载请注明来源网站www.shareditor.com以及原始链接地址

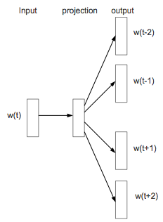
Skip-gram模型

Skip-gram全称是Continuous Skip-gram Model,是在已知当前词的情况下预测上下文

自己动手做聊天机器人 二十五-google的文本挖掘深度学习工具word2vec的实现原理

Skip-gram模型的神经网络结构设计如下:

输入层:w的词向量v(w)

投影层:依然是v(w),就是一个形式

输出层:和CBOW一样的霍夫曼树

后面的推导公式和CBOW大同小异,其中θ和v(w)的更新公式除了把符号名从x改成了v(w)之外完全一样,如下:

自己动手做聊天机器人 二十五-google的文本挖掘深度学习工具word2vec的实现原理

体验真实的word2vec

首先我们从网上下载一个源码,因为google官方的svn库已经不在了,所以只能从csdn下了,但是因为还要花积分才能下载,所以我干脆分享到了我的git上( https://github.com/warmheartli/ChatBotCourse/tree/master/word2vec ),大家可以直接下载

下载下来后直接执行make编译(如果是mac系统要把代码里所有的#include <malloc.h>替换成#include <sys/malloc.h>)

编译后生成word2vec、word2phrase、word-analogy、distance、compute-accuracy几个二进制文件

我们先用word2vec来训练

首先我们要有训练语料,其实就是已经切好词(空格分隔)的文本,比如我们已经有了这个文本文件叫做train.txt,内容是"人工 智能 一直 以来 是 人类 的 梦想 造 一台 可以 为 你 做 一切 事情 并且 有 情感 的 机器 人"并且重复100遍

执行

./word2vec -train train.txt -output vectors.bin -cbow 0 -size 200 -window 5 -negative 0 -hs 1 -sample 1e-3 -thread 12 -binary 1

会生成一个vectors.bin文件,这个就是训练好的词向量的二进制文件,利用这个文件我们可以求近义词了,执行:

./distance vectors.bin
Enter word or sentence (EXIT to break): 人类

Word: 人类  Position in vocabulary: 6

                                              Word       Cosine distance
------------------------------------------------------------------------
                                            可以       		0.094685
                                               为      		0.091899
                                            人工       		0.088387
                                            机器       		0.076216
                                            智能       		0.073093
                                            情感       		0.071088
                                               做      		0.059367
                                            一直       		0.056979
                                            以来       		0.049426
                                            一切       		0.042201
                                              </s>     		0.025968
                                            事情       		0.014169
                                               的      		0.003633
                                               是      		-0.012021
                                               有      		-0.014790
                                            一台       		-0.021398
                                               造      		-0.031242
                                               人      		-0.043759
                                               你      		-0.072834
                                            梦想       		-0.086062
                                            并且       		-0.122795
……

如果你有很丰富的语料,那么结果会很漂亮

原文  http://www.shareditor.com/blogshow/?blogId=100
正文到此结束
Loading...