转载

Python科学计算和绘图入门

用到的相关模块

  • scipy
  • numpy
  • matplotlib
  • mayavi

模块安装

主要就是这四个模块,如果要安装的话,前三个可以直接使用 sudo pip install xxx 来安装。对于mayavi,安装起来比较复杂,主要是vtk的安装,我安装了几次都没有成功,不管是使用ccmake还是使用independent installer都没法用,在尝试了一个下午之后,发现了python科学计算的神器 Canopy 。

Canopy是Python科学计算的集成环境,里面集成了你所知道,你所需要的所有python科学计算需要的module,这是他的主页截图。

Python科学计算和绘图入门 我在Package Manager中直接搜索下载了mayavi,一键完成安装,特别方便,推荐所有用Python科学计算,或者是为了毕业论文等同学使用Canopy,我要是早发现就好了! Python科学计算和绘图入门

科学计算

常量主要是在numpy包里, np.e , np.pi 之类的,当然先要导入这个包。

import numpy as np

简单的运算也通过numpy完成,比如 np.cos , np.sin , np.tan 之类的,可以尝试,基本的运算都在里面。

对于积分运算,需要使用scipy中的integrate模块,关于scipy的参考文档,可以参考 这里 。下面是一个简单的求黑体的辐射的积分,还自带误差,对数值计算有要求的同学有福了。

#encoding:utf-8
from scipy import integrate  
import numpy as np  
#函数定义
def blackBodyM(x,c1,c2,T):  
    return (c1/(x**5))*(1/((np.e**(c2/(x*T)))-1))
c1 = 3.7415*10**8  
c2 = 1.43879*10**4  
T = 800  
#结果,误差
resut,err = integrate.quad(blackBodyM,3,5,args=(c1,c2,T))

绘图

重头戏来了,python的绘图功能,完全不亚于matlab,matlab能做的,python里面都能实现,对于2D绘图,不管是函数图像还是数值统计图,都可以使用 matplotlib 库来完成。当然,也可以用 matplotlib 来完成3D绘图,不过个人对比体验了下,3D绘图,尤其是建模,还是使用 mayavi 更方便快速。

从 matplotlib参考文档 和 mayavi参考文档 对比也可以发现,mayavi主要针对3D建模,matplotlib主要是2D绘图。

2D绘图

下面我对matplotlib的主要绘图模块pyplot分析。

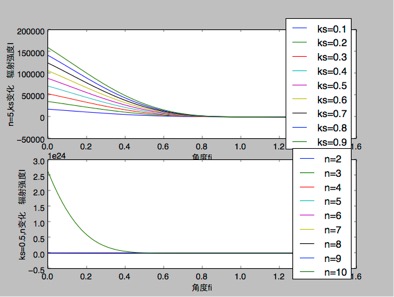
我们画一个这样的图像。 Python科学计算和绘图入门
#序之前的代码
def functionI(fi,ks,n,a,e0):  
    return e0*ks*((-350*np.sin(fi)+(700*np.sqrt(3)/2)*np.cos(fi))**n)*a*a*np.cos(fi)
from matplotlib import pyplot as plt  
plt.figure(1)  
#图1:n不变,ks变化
#fi的取值范围 0-pi/2,分100个点
fi = np.linspace(0,np.pi/2,100)  
ax1 = plt.subplot(211)  
plt.sca(ax1)  
#ks = 0.1-0.9 n=5
for ks in range(1,10):  
    ks = ks*0.1
    plt.plot(fi,functionI(fi,ks,3,1,e0),label='ks='+str(ks))
    plt.legend(loc='upper right',bbox_to_anchor = (1, 1.15))
plt.xlabel(u'角度fi')  
plt.ylabel(u'n=5,ks变化   辐射强度I')  
ax2 = plt.subplot(212)

#ks = 0.5,n=2-10
for n in range(2,11):  
    plt.plot(fi,functionI(fi,0.5,n,1,e0),label='n='+str(n))
    plt.legend(loc='upper right',bbox_to_anchor = (1, 1.15))
plt.xlabel(u'角度fi')  
plt.ylabel(u'ks=0.5,n变化   辐射强度I')  
plt.show()

几个地方说明一下:

  • np.linspace :构造线性list,用来取点,其实画函数图像的本质就是画很多点,然后连接起来。
  • plt.figure :运行以后,一个figure对应一个 plt.show() ,其实就是对应一个窗口。
  • plt.subplot :一个figure里有多少个图像(坐标轴),每次运行这个返回一个ax坐标轴对象,每次走完这行代码,就选中这个ax,接下来的操作都是在这个ax上完成的。
  • plt.legend :图例显示。
  • 以上函数的所有的参数都可以在 matplotlib参考文档 中找到。

3D建模

这里介绍一下使用mayavi进行模拟光照实验(Phong模型),首先使用如下代码构造一个表面。

import numpy as np  
from mayavi import mlab  
x, y = np.mgrid[-3:3:150j,-3:3:150j]  
z =x**2+y**2+2  
surf = mlab.surf(x, y, z, colormap='RdYlBu', warp_scale='auto')  
surf.actor.property.interpolation = 'phong'  
#对应参数表面反射率和n高光系数
surf.actor.property.specular = 0.5 #ks  
surf.actor.property.specular_power = 2 #n  
mlab.show()

运行以后得到一个这样的模型表面,为了展示整个表面,这里使用4处光照。 Python科学计算和绘图入门 点击左上角很酷的那个按钮,可以打开表面参数设置和光照设置。 Python科学计算和绘图入门 可以看到这里使用4个白光光源照射。并且可以很方便的进行参数设置。 当然这里我也用matplotlib画了同样的图形,但跑起来的时候机器很卡,使用 matplotlib 处理便面和光照,还需要使用其他的库来辅助,这里只贴出import的部分代码。

import numpy as np  
import matplotlib.pyplot as plt  
from mpl_toolkits.mplot3d import Axes3D  
from matplotlib.colors import LightSource

总之处理和模型有关的3D,还是使用 mayavi ,简单粗暴。 如果需要更深入的学习,还是需要看计算机图形学和相关库的参考文档。

原文  http://xferris.me/pythonke-xue-ji-suan-he-hui-tu-ru-men/
正文到此结束
Loading...