转载

MCMC中的Metropolis–Hastings算法与吉布斯采样

Metropolis–Hastings算法是一种具体的MCMC方法,而吉布斯采样(Gibbs Sampling)是Metropolis–Hastings算法的一种特殊形式。二者在机器学习中具有重要作用,Bishop在他的机器学习经典之作PRML中也专门用了一章的篇幅来介绍随机采样方法。本文将结合R语言实例来探讨这两种算法的相关话题。本文是这个系列文章的最后一篇,主要介绍MCMC中的Metropolis–Hastings算法和吉布斯采样(Gibbs Sampling)方面的内容。

作为本系列文章的组成部分,也作为你阅读本文所必须的预备知识,希望各位读者确认已经对如下文章所谈之话题了然于心:

  • 蒙特卡洛(Monte Carlo)法求定积分
  • 蒙特卡洛采样之拒绝采样(Reject Sampling)
  • 矩阵的极限与马尔科夫链(上)
  • 矩阵的极限与马尔科夫链(下)
  • Chapman-Kolmogorov Equation
  • 蒙特卡洛马尔科夫链(MCMC)

欢迎关注白马负金羁的CSDN博客 http://blog.csdn.net/baimafujinji ,为保证公式、图表得以正确显示,强烈建议你从该地址上查看原版博文。本博客主要关注方向包括:数字图像处理、算法设计与分析、数据结构、机器学习、数据挖掘、统计分析方法、自然语言处理。

Metropolis–Hastings算法

In statistics, the Metropolis–Hastings algorithm is a MCMC method for obtaining a sequence of random samples from a probability distribution for which direct sampling is difficult.

听到Metropolis–Hastings这个名字,有没有点似曾相识,或者在其他地方也听过。如果你做过数学建模,或者学过优化算法方面的内容,那么在研究模拟退火算法时就应该听过Metropolis–Hastings算法这个名字。本质上来说,模拟退火中的Metropolis–Hastings和MCMC中的Metropolis–Hastings确实是一回事。The original algorithm used in simulated annealing and MCMC’s is due to Metropolis. Later generalized by Hastings. Hastings showed that it is not necessary to use a symmetric proposal distribution, and proposed that the proposed new state can be generated from any q ( y   |   )

. Of course, the speed with which we reach the equilibrium distribution will depend on the choice of the proposal function.

Metropolis–Hastings算法的执行步骤如下,注意其中的q就是前面文字描述中的P,即后验概率:

MCMC中的Metropolis–Hastings算法与吉布斯采样
Metropolis–Hastings算法的执行步骤是先随便指定一个初始的样本点 0 u 是来自均匀分布的一个随机数, 是来自q分布的样本点,样本点是否从前一个位置跳转到 ,由 α ( ) u 的大小关系决定。如果接受,则跳转,即新的采样点为 ,否则就拒绝,即新的采用点仍为上一轮的采样点。这个算法看起来非常简单,你一定会疑问按照如此的步骤来执行,最终采样分布能收敛到目标分布吗?根据之前的讲解,可知要想验证这一点,就需要检查detailed balance是否满足。下面是具体的证明过程,我们不再赘言。
MCMC中的Metropolis–Hastings算法与吉布斯采样

既然已经从理论上证明Metropolis–Hastings算法的确实可行,下面我们举一个简单的例子来看看实际中Metropolis–Hastings算法的效果。稍微有点不一样的地方是,我们这里并未出现 ( ) P (   |   )

这样的后验概率形式,作为一个简单的示例,我们只演示从柯西分布中进行采样的做法。

柯西分布也叫作柯西-洛伦兹分布,它是以奥古斯丁·路易·柯西与亨德里克·洛伦兹名字命名的连续概率分布,其概率密度函数为

( ; 0 , ) = 1 [ 1 + ( ) 2 ]   = [ ( 0 ) 2 + 2 ]

其中 0 是定义分布峰值位置的位置参数, 是最大值一半处的一半宽度的尺度参数。 0 = 0 = 1 的特例称为标准柯西分布,其概率密度函数为
( ; 0 , 1 ) = 1 ( 1 + 2 )

下面是在R中进行基于Metropolis–Hastings算法对柯西分布进行采样的示例代码。
rm(list=ls()) ## 清除全部对象
set.seed(201912)
reps=40000

# target density: the cauchy distribution
cauchy<-function(x, x0=0, gamma=1){

  out<-1/(pi*gamma*(1+((x-x0)/gamma)^2))
  return(out)

}

chain<-c(0)

for(i in 1:reps){

    proposal<-chain[i]+runif(1, min=-1, max=1)
    accept<-runif(1)<cauchy(proposal)/cauchy(chain[i])
    chain[i+1]<-ifelse(accept==T, proposal, chain[i])
}

# plot over time
plot(chain, type="l")


plot(density(chain[1000:reps]), xlim=c(-5,5), ylim=c(0,0.4), col="red")
den<-cauchy(seq(from=-5, to=5, by=0.1), x=0, gamma=1)
lines(den~seq(from=-5, to=5, by=0.1), lty=2, col="blue")

下图是每次采样点的数值分布情况。

MCMC中的Metropolis–Hastings算法与吉布斯采样
为了更清晰明确的看到采样结果符合预期分布,我们也绘制了分布的密度图,如下图所示,红色实线是采样分布的密度图,而蓝色虚线则是实际柯西分布的密度图,可见二者吻合地相当好。
MCMC中的Metropolis–Hastings算法与吉布斯采样
当然,作为一个简单的开始,上面的例子中我们并没有涉及到 q ( y   |   ) ,接下来的这个例子则会演示涉及后验概率的基于Metropolis–Hastings算法的MCMC。我们将用Metropolis–Hastings算法从瑞利分布(Rayleigh Distribution)中采样,瑞利分布的密度为
( ) = e 2 2 2 ,     0 ,     > 0
然后取自由度为 的卡方分布为proposal function。实现代码如下:
rm(list=ls()) ## 清除全部对象

f <- function(x, sigma) {
    if (any(x < 0)) return (0)
    stopifnot(sigma > 0)
    return((x / sigma^2) * exp(-x^2 / (2*sigma^2)))
}

m <- 40000
sigma <- 4
x <- numeric(m)
x[1] <- rchisq(1, df=1)
k <- 0
u <- runif(m)

for (i in 2:m) {
    xt <- x[i-1]
    y <- rchisq(1, df = xt)
    num <- f(y, sigma) * dchisq(xt, df = y)
    den <- f(xt, sigma) * dchisq(y, df = xt)
    if (u[i] <= num/den) x[i] <- y else {
         x[i] <- xt
         k <- k+1     #y is rejected
     }
}

然后我们要验证一下,我的生产的采样数据是否真的符合瑞利分布。注意在R中使用瑞利分布的相关函数,需要加装VGAM包。下面的代码可以让我们直观地感受到采样结果的分布情况。

> curve(drayleigh(x, scale = 4, log = FALSE), from = -1, to = 15, xlim=c(-1,15), ylim=c(0,0.2), 
+ lty = 2, col="blue",xlab = "", ylab="")
> par(new=TRUE)
> plot(density(x[1000:m]) , xlim=c(-1,15), ylim=c(0,0.2),col="red")

从下图中不难看出,我们的采样点分布确实符合预期。当然,这仅仅是一个演示用的小例子。显然,它并不高效。Œ因为我们采用自由度为

的卡方分布来作为proposal function,大约有40%的采样点都被拒绝掉了。如果换做其他更加合适proposal function,可以大大提升采样的效率。
MCMC中的Metropolis–Hastings算法与吉布斯采样

吉布斯采样(Gibbs Sampling)

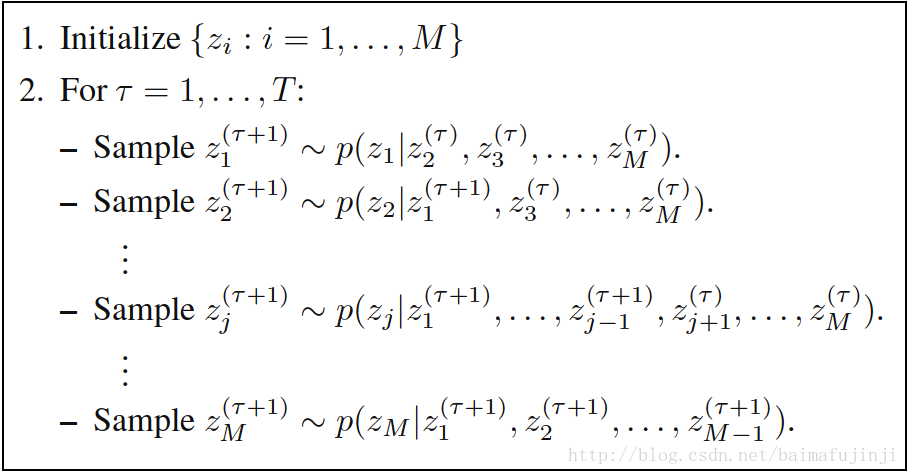
In statistics, Gibbs sampling is a MCMC algorithm for obtaining a sequence of observations which are approximated from a specified multivariate probability distribution , when direct sampling is difficult. 吉布斯采样 can be seen as a special case of the Metropolis-Hastings algorithm. 而这个特殊之处就在于,我们在使用吉布斯采样时,通常是对多变量分布进行采样的。比如说,现在我们有一个分布 p ( z 1 , z 2 , z 3 )

,可见它是定义在三个变量上的分布。这种分布很多,比如一维的正态分布也是关于其均值和方差这两个变量的分布。在算法的第 步,我们选出了三个值 z ( ) 1 , z ( ) 2 , z ( ) 3 。这时既然 z ( ) 2 z ( ) 3 是已知的,那么我们可以由此获得一个新的 z ( + 1 ) 1 ,并用这个新的值替代原始的 z ( ) 1 ,而新的 z ( + 1 ) 1 可以由下面这个条件分布来获得
p ( z 1   |   z ( ) 2 , z ( ) 3 )
接下来同样的道理再用一个新的 z ( + 1 ) 2 来替代原始的 z ( ) 2 ,而这个新的 z ( + 1 ) 2 可以由下面这个条件分布来获得
p ( z 2   |   z ( + 1 ) 1 , z ( ) 3 )
可见刚刚获得的新值 z ( + 1 ) 1 已经被直接用上了。同理,最后用 z ( + 1 ) 3 来更新 z ( ) 3 ,而新的值由下面这个条件分布来获得
p ( z 3   |   z ( + 1 ) 1 , z ( + 1 ) 2 )
按照这个顺序如此往复即可。下面给出更为完整的吉布斯采样的算法描述。
MCMC中的Metropolis–Hastings算法与吉布斯采样
当然如果要从理论上证明吉布斯采样确实可以得到预期的分布,我们就应该考察它是否满足detailed balance。但是前面也讲过,吉布斯采样是Metropolis–Hastings算法的一个特例。所以其实我们甚至无需费力去考察其是否满足detailed balance,如果能够证明吉布斯采样就是Metropolis–Hastings算法,而Metropolis–Hastings算法是满足detailed balance,其实也就得到了我们想要的。下面是证明的过程,其中 x 表示一个向量 ( 1 , , 1 , + 1 , , D ) ,也就是从中剔除了 元素。
MCMC中的Metropolis–Hastings算法与吉布斯采样
吉布斯采样的例子网上有很多资料可以参考,这里就不再赘述了。最后说明一点就是,以吉布斯采样为基础实现的MCMC在自然语言处理中的LDA里有重要应用。我们花费了很长的篇幅,用了一个系列的文章最后才把MCMC介绍完毕,如果你正在或者后续准备研究LDA的话,这些内容将是非常必要的基础,也是相当不错的开端。

参考文献

[1] 本文中的英文定义来自于维基百科
[2] http://zhfuzh.blog.163.com/blog/static/1455393872012822854853/
[3] 悉尼科技大学徐亦达博士的机器学习公开课授课材料
[4] 莱斯大学Justin Esarey助理教授( http://jee3.web.rice.edu/index.htm )的公开课资料( https://www.youtube.com/watch?v=j4nEAqUUnVw )
[5] http://staff.ustc.edu.cn/~zwp/teach/Stat-Comp/Lec8.R
[6] Christopher Bishop, Pattern Recognition and Machine Learning, Springer, 2007

原文  http://blog.csdn.net/baimafujinji/article/details/53946367
正文到此结束
Loading...