转载

五分钟学会智能多通道推送(PUSH)技术

背景

目前手机 APP 都具有消息推送功能, 比如电商类 APP 会推送活动宣传和促销信息,天气类 APP 会根据天气变化为你推送天气信息,新闻类 APP 会定期推送新闻资讯,聊天类 APP 会把离线消息做成实时推送消息,可以说推送功能已经在手机 APP 中扮演着越来越重的角色。从运营的角度看推送也是召回用户,提高用户活跃度和粘性的有效手段。

iOS 平台推送功能全部由 APNs(ApplePush Notification service) 接管,对开发者来说别无选择,当然效果也非常好。

五分钟学会智能多通道推送(PUSH)技术

1 iOS 移动 PUSH 推送流程

在Android平台Google也提供了一个类似于APNs的功能,但是由于众所周知的原因Google的服务在国内经常不可用,所以国内很多手机厂商直接直接把GCM/C2DM(Cloudto DeviceMessaging)模块去掉了,所以Android推送在国内就出现了很多解决办法。安卓推送总体来说有三种模式:一、手机品牌厂商自建推送通道(小米推送,华为推送等),二、第三方推送比如(个推推送,极光推送等),三、手机应用自建推送通道。

五分钟学会智能多通道推送(PUSH)技术

2 Google GCM/C2DM 推送流程

目前 Android 上绝大部分推送都是基于长连接的 Client-Server 架构,需要客户端和服务器之间保持一个长连接,虽然 Android 是可以允许程序驻留在后台,但是由于手机厂商和各种清理程序查杀工具越发严格,所以这个长连接非常不稳定,除非具有庞大用户群和巨大话语权的 APP ,所以自建通道对普通 APP 效果不一定最优。手机厂商自建推送通道在自己手机品牌上使用的系统级长连接,所以在自有品牌上到达率是有保证的。第三方推送由于拥有许多手机应用可以做到各种应用直接相互唤醒,所以也能在一定程度上提高到达率。

五分钟学会智能多通道推送(PUSH)技术 1 活跃用户 (A 通道 ) 各个品牌手机到达率

五分钟学会智能多通道推送(PUSH)技术

2 活跃用户 (B 通道 ) 各个品牌手机到达率

对每种品牌手机我们希望选择到达率高的通道进行推送,所以多通道推送就成为我们迫切的需求,同时为了增加可靠性,确保服务有较强的容灾能力,我们也需要多通道推送作为保证。

安卓多通道推送整体流程图如下: 五分钟学会智能多通道推送(PUSH)技术

3 智能多通道推送整体流程图

Token 获取

为了实现多通道推送,客户端会集成多个推送通道的 SDK SDK 会在初始化时将客户手机 Token 上报给服务端,但是每个 SDK 都会在一定时间间隔向服务端发送心跳,这样就会使客户端程序耗电量成倍增加,所以客户端要在开启 SDK 之前请求服务端,根据服务端下发的开启通道指令初始化对应的 SDK 。具体要开启哪个 SDK 是逻辑控制层根据取配置中心规则决定,只有在配置发生变化时才会重新通知 SDK 重新上报 Token ,这样就也减少了服务端存储重复 Token 的问题。

五分钟学会智能多通道推送(PUSH)技术

4 客户端 Token 上报流程图

multiPush

多通道推送分为多种模式,一种是根据业务需求实时推送,另外则是根据某些特征进行的批量推送。我们既要减少数据库的查询压力又要保证数据有比较小的延迟。我们用两个线程分别对发送内存队列做扫描,当消息个数或时间满足条件才会聚合数据,到数据库批量查询结果,最后组装包体交给 pushProvider 程序。

五分钟学会智能多通道推送(PUSH)技术 5 multiPush 客户端原理图

pushProvider

该模块有两个主要功能:一是要尽快把数据推送到第三方推送平台,二是根据配置中心的配置选择出正确通道。 五分钟学会智能多通道推送(PUSH)技术

6 服务端多通道推送流程图

配置中心

配置中心有两种数据,一种是根据各个通道,各个手机品牌,各个 APP 的推送到达率不同,推荐出的最优通道,二是需要我们人工干预的通道选择开关选项,用于容灾控制和品牌到达率对比。

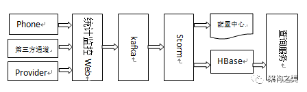
监控统计

实时统计是作为推送服务提供方,提供给服务使用方必备的功能。上游推送使用方发送完推送功能之后,可以使用实时统计推送结果查询推送结果。同时我们也可以在实时统计中进行达率统计,并对其进行监控,这样就可以及时发现第三方推送中出现的问题,我们随时进行调整。同时我们也可以对批量到达率进行统计分析之后放到配置中心,作为通道选择统计的必备数据。

五分钟学会智能多通道推送(PUSH)技术 实时统计监控

总结和展望

本文介绍了 58 智能多通道推送的推送方案和每个部分的设计框架。分享出来希望和大家交流讨论。接下来我们可能会选择自建通道,虽然自建通道对到达率提高不会有太大帮助,但是现在需要我们对推送目标状态进行更加详细的数据,在线状态,网络情况,长连接的强度,推送失败的具体原因,只有拥有这些数据才能把推送到达率再上一个台阶。

参考

  1. http://bbs.hiapk.com/thread-4652657-1-1.html

  2. http://www.jianshu.com/p/d77eaca4e52a

  3. https://zhuanlan.zhihu.com/p/22909985

转载请连同下方内容一起转载

-------------

观看架构师之美其他文章,请通过微信右上角关注功能 或者 长按下面二维码中间图标关注我们!

-------------

在这里分享我们的思考和实践,让我们在互联网架构设计、大数据开发、机器学习实践之路上共同成长!

-------------

请关注我们!

五分钟学会智能多通道推送(PUSH)技术

原文  http://mp.weixin.qq.com/s/A9ULDNQSMr0365mjH5iAQQ
正文到此结束
Loading...