转载

看穿机器学习(W-GAN模型)的黑箱

看穿机器学习(W-GAN模型)的黑箱

图a. Principle of GAN.

前两天纽约暴雪,天地一片苍茫。今天元宵节,长岛依然清冷寂寥,正月十五闹花灯的喧嚣热闹已成为悠远的回忆。这学期,老顾在讲授一门研究生水平的数字几何课程,目前讲到了2016年和丘成桐先生、罗锋教授共同完成的一个几何定理【3】,这个工作给出了经典亚历山大定理(Alexandrov Theorem)的构造性证明,也给出了最优传输理论(Optimal Mass Transportation)的一个几何解释。这几天,机器学习领域的Wasserstein GAN突然变得火热,其中关键的概念可以完全用我们的理论来给出几何解释,这允许我们在一定程度上亲眼“看穿”传统机器学习中的“黑箱”。下面是老顾下周一授课的讲稿。

生成对抗网络 GAN

训练模型 生成对抗网络GAN (Generative Adversarial Networks)是一个“自相矛盾”的系统,就是以己之矛克以己之盾,在矛盾中发展,使得矛更加锋利,盾更加强韧。这里的矛被称为是判别器(Descriminator),这里的盾被称为是生成器(Generator)。

看穿机器学习(W-GAN模型)的黑箱

图b. Generative Model.

生成器G一般是将一个随机变量(例如高斯分布,或者均匀分布),通过参数化的概率生成模型(通常是用一个深度神经网来进行参数化),进行概率分布的逆变换采样,从而得到一个生成的概率分布。判别器D也通常采用深度卷积神经网。

看穿机器学习(W-GAN模型)的黑箱

图1. GAN的算法流程图。

看穿机器学习(W-GAN模型)的黑箱                  

在训练中,判别器D和生成器G交替学习,最终达到纳什均衡(零和游戏),判别器无法区分真实样本和生成样本。

优点 GAN具有非常重要的优越性。当真实数据的概率分布不可计算的时候,传统依赖于数据内在解释的生成模型无法直接应用。但是GAN依然可以使用,这是因为GAN引入了内部对抗的训练机制,能够逼近一下难以计算的概率分布。更为重要的,Yann LeCun一直积极倡导GAN,因为GAN为无监督学习提供了一个强有力的算法框架,而无监督学习被广泛认为是通往人工智能重要的一环。

看穿机器学习(W-GAN模型)的黑箱

为此,我们引入最优传输的几何理论(Optimal Mass Transportation),这个理论可视化了W-GAN的关键概念,例如概率分布,概率生成模型(生成器),Wasserstein距离。更为重要的,这套理论中,所有的概念,原理都是透明的。例如,对于概率生成模型,理论上我们可以用最优传输的框架取代深度神经网络来构造生成器,从而使得黑箱透明。

最优传输理论梗概

看穿机器学习(W-GAN模型)的黑箱

看穿机器学习(W-GAN模型)的黑箱

看穿机器学习(W-GAN模型)的黑箱

图2. 亚历山大定理。

看穿机器学习(W-GAN模型)的黑箱

后面,我们可以看到,这个凸多面体就是Brenier势能函数,其梯度映射将一个概率分布.映到另外一个概率分布,并且这两个概率分布之间的Wasserstein 距离对偶于此凸多面体决定的体积。理论上,这个凸多面体可以作为W-GAN模型中的生成器G。

W-GAN中关键概念可视化

Wasserstein-GAN模型中,关键的概念包括概率分布(概率测度),概率测度间的最优传输映射(生成器),概率测度间的Wasserstein距离。下面,我们详细解释每个概念所对应的构造方法,和相应的几何意义。

看穿机器学习(W-GAN模型)的黑箱

图3. 由保角变换(conformal mapping)诱导的圆盘上概率测度。

概率测度可以看成是一种推广的面积(或者体积)。我们可以用几何变换随意构造一个概率测度。如图3所示,我们用三维扫描仪获取一张人脸曲面,那么人脸曲面上的面积就是一个概率测度。我们缩放变换人脸曲面,使得总曲面等于π。然后,我们用保角变换将人脸曲面映射到平面圆盘。如图3所示,保角变换将人脸曲面上的无穷小圆映到平面上的无穷小圆,但是,小圆的面积发生了变化。每对小圆的面积比率定义了平面圆盘上的概率密度函数。

看穿机器学习(W-GAN模型)的黑箱

图4. 两个概率测度之间的最优传输映射。

看穿机器学习(W-GAN模型)的黑箱

图5. 离散最优传输。

看穿机器学习(W-GAN模型)的黑箱 看穿机器学习(W-GAN模型)的黑箱

图6. 离散Brenier势能函数,离散最优传输映射。

看穿机器学习(W-GAN模型)的黑箱 看穿机器学习(W-GAN模型)的黑箱

看穿机器学习(W-GAN模型)的黑箱

看穿机器学习(W-GAN模型)的黑箱

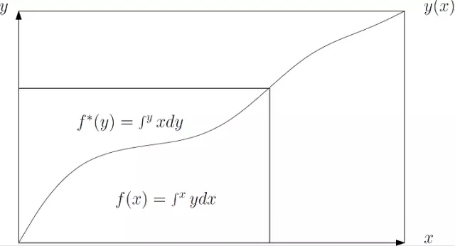
图8.凸函数的图像由其切线包络而成,切线集合被表示成原函数的勒让德对偶。

看穿机器学习(W-GAN模型)的黑箱 看穿机器学习(W-GAN模型)的黑箱

图9. 图解勒让德变换。

看穿机器学习(W-GAN模型)的黑箱

总结

通过以上讨论,我们看到给定两个概率分布 看穿机器学习(W-GAN模型)的黑箱 ,则存在唯一的一个凸函数(Brenier 势函数) 看穿机器学习(W-GAN模型)的黑箱 ,其梯度映射 看穿机器学习(W-GAN模型)的黑箱 把一个概率分布T映成了另外一个概率分布。这个最优传输映射的传输代价就给出了两个概率分布之间的Wasserstein距离。Brenier势能函数,Wasserstein距离都有明晰的几何解释。

在Wasserstein-GAN模型中,通常生成器和判别器是用深度神经网络来实现的。根据最优传输理论,我们可以用Briener势函数来代替深度神经网络这个黑箱,从而使得整个系统变得透明。在另一层面上,深度神经网络本质上是在训练概率分布间的传输映射,因此有可能隐含地在学习最优传输映射,或者等价地Brenier势能函数。对这些问题的深入了解,将有助于我们看穿黑箱。

看穿机器学习(W-GAN模型)的黑箱

图10. 基于二维最优传输映射计算的曲面保面积参数化(area preserving parameterization),苏政宇作。

看穿机器学习(W-GAN模型)的黑箱 看穿机器学习(W-GAN模型)的黑箱

图11. 基于三维最优传输映射计算的保体积参数化 (volume preserving parameterization),苏科华作。

(在2016年,老顾撰写了多篇有关最优传输映射的博文,非常欣慰地看到这些文章启发了一些有心的学者,发表了SIGGRAPH论文,申请了NSF基金。感谢大家关注老顾谈几何,希望继续给大家灵感。)

参考资料

[1]Arjovsky, M. & Bottou, L.eon (2017) Towards Principled Methods for Training Generative Adversarial Networks

[2] Arjovsky, M., Soumith, C. & Bottou, L.eon (2017) Wasserstein GAN.

[3] Xianfeng Gu, Feng Luo, Jian Sun and Shing-Tung Yau, Variational Principles forMinkowski Type Problems, Discrete Optimal Transport, and Discrete Monge-Ampere

Equations, Vol. 20, No. 2, pp. 383-398, Asian Journal of Mathematics (AJM), April 2016.

欢迎加入本站公开兴趣群

商业智能与数据分析群

兴趣范围包括各种让数据产生价值的办法,实际应用案例分享与讨论,分析工具,ETL工具,数据仓库,数据挖掘工具,报表系统等全方位知识

QQ群:81035754

原文  http://www.dataguru.cn/article-10581-1.html
正文到此结束
Loading...