转载

GRU 神经网络

现在目前用的最多的三种神经网络是 CNN,LSTM,GRU 。其中,后两者都是RNN的变种,去年又给RNN发明了个 SRU (优点是train RNN as fast as CNN),SRU以后再讲,目前先消化了这个GRU再说。

GRUGated Recurrent Unit门控循环单元 。意思大概理解就是在RNN上多加了几个门,目的和LSTM基本一样, 为了加强RNN神经网络的记忆能力

我们先来回忆下最初的 SimpleRNN

GRU 神经网络

其中a是记忆单元,g是激活函数,x是输入,b偏执bias,t是时间点。

画图就是这样的:

GRU 神经网络

比如下面的一个机器翻译的例子。

单数cat和was相聚 甚远 ,如果考虑到SimpleRNN的长时间记忆会导致 梯度消失 的重大问题,有些人就在论文中提出了 GRU (Simplified)简化版

首先,GRU的 记忆单元是C

GRU 神经网络

(也就是说上面的simpleRNN的a的功能给了C,主要是为了和LSTM区别开)

进入单元后,将用C~代替C:

GRU 神经网络

重点来了,GRU的真正重要的思想是有一个 GRU 神经网络 gamma u门,这个是希腊文,你看这个多像门呀,u代表update更新的意思,可以说这个是 更新门

GRU 神经网络

因为 GRU 神经网络 要设置在0-1之间,所以用的是sigmoid激活函数。实际中, GRU 神经网络 经常非常接近0或1。

我们假设cat,用一个bit记录这个特征,单数设为1,复数的话设为0。(真正网络中会有自己独特的特征记法)

GRU 神经网络

我们希望这个记忆单元C=1能一直保留到was那里,如

GRU 神经网络

即使不是1,实际上也不可能不变是1的,但是只要和1别差距太大就行。其他的特征让C中用其他的参数记录就行,别影响我cat的就行。

那么怎么才能保证cat的特征单元不变呢?这就用到下一个门了:

GRU 神经网络

看上面的公式,我们想,怎么才能让C_t依然等于C_t-1时刻呢?那么就是 GRU 神经网络 等于0的时候(这个肯定是理想情况了)

GRU 神经网络

这个时候时间到了was这里时,C中还记着cat单数的事呢。而实际上,

GRU 神经网络

是个负很大的数,也就是经过sigmoid后接近0了。所以,上述的情况是可以的。

到这里,这个简化版的GRU基本讲完了,看看 可视化单元

GRU 神经网络

公式为:

GRU 神经网络

GRU 神经网络

是不是也看到简化俩字了?

是的没错,经过研究者的不断探究,终于研究出来一种适合几乎各种研究实验的新型 GRU网络 是这样的:

GRU 神经网络

这个GRU可以经过经 过更加深度的训练而保持强壮记忆力

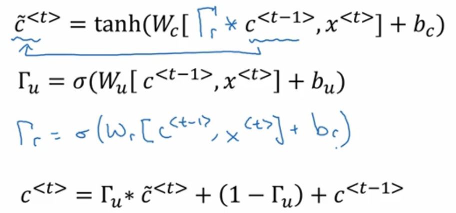
这里的第一个公式:

GRU 神经网络

GRU 神经网络 gamma r的这个r可以表示为relevance相关性,也就是新的t时刻的记忆单元C~和t-1时刻的记忆单元C的相关性。

而这个 GRU 神经网络 是什么矩阵呢?刚好第三个式子

GRU 神经网络

解释了 GRU 神经网络 的意思,其中W_r是新的参数。

好啦,这里就真的讲完了。 GRU 神经网络

以上来自自己学习Andrew课程的笔记。

欢迎关注深度学习自然语言处理公众号,我会在这里记录自己在路上的一点一滴!期待和你一起进步! GRU 神经网络

GRU 神经网络

原文  https://mp.weixin.qq.com/s?__biz=MzI3ODgwODA2MA==&mid=2247483905&idx=1&sn=f4f68504a67701827be900dcc2ee0014&chksm=eb501692dc279f84cd1ed6ecb36dab90fe86e382df22ee2ed952846251430aa2fccfa37e67df
正文到此结束
Loading...