转载

Python or Java?大数据解读学什么语言最赚钱

本文主要用Python爬取拉勾网不同编程语言职位信息,包括:Python岗、Java岗、C++岗、PHP岗、C#岗位(5岗);用R语言对影响薪资的因素进行分析。由于拉勾网的职位信息只显示30页,一页15个职位信息,如果单独爬取一个城市的岗位信息,只有几页是匹配的信息,信息量太小,分析没有说服力。因此,本文爬取拉勾网全国职位信息。主要三部分内容:

  1. 爬取拉勾网5岗职位信息--以Python岗为例
  2. 以Python岗位信息为例,分析影响薪资的因素
  3. 5岗之间薪水因素影响比较分析

一、爬取拉勾网5岗职位信息--以Python岗为例

我们抓取的信息包括Python岗位名称、公司名称、薪资、工作经验、学历、公司规模、公司福利。

Python or Java?大数据解读学什么语言最赚钱

##以python岗位为例,运用selenium+Chrome()爬取岗位信息 
# coding=UTF-8 
from lxml import etree 
from selenium import webdriver 
import time 
import csv 
 
browser = webdriver.Chrome() 
browser.get('https://www.lagou.com/jobs/list_PYTHON?px=default&city=%E5%85%A8%E5%9B%BD#filterBox') 
browser.implicitly_wait(10) 
 
def get_dates(selector): 
        items = selector.xpath('//*[@id="s_position_list"]/ul/li') 
        for item in items: 
            yield { 
                'Name': item.xpath('div[1]/div[1]/div[1]/a/h3/text()')[0], 
                'Company': item.xpath('div[1]/div[2]/div[1]/a/text()')[0], 
                'Salary': item.xpath('div[1]/div[1]/div[2]/div/span/text()')[0], 
                'Education': item.xpath('div[1]/div[1]/div[2]/div//text()')[3].strip(), 
                'Size': item.xpath('div[1]/div[2]/div[2]/text()')[0].strip(), 
                'Welfare': item.xpath('div[2]/div[2]/text()')[0] 
            } 
def main(): 
    i = 0 
    for i in range(30): 
        selector = etree.HTML(browser.page_source) 
        browser.find_element_by_xpath('//*[@id="order"]/li/div[4]/div[2]').click() 
        time.sleep(5) 
        print('第{}页抓取完毕'.format(i+1)) 
        for item in get_dates(selector): 
            print(item) 
        with open('Py.csv', 'a', newline='') as csvfile:  ##Py.csv是文件的保存路径,这里默认保存在工作目录 
            fieldnames = ['Name', 'Company', 'Salary', 'Education', 'Size', 'Welfare'] 
            writer = csv.DictWriter(csvfile, fieldnames=fieldnames) 
            writer.writeheader() 
            for item in get_dates(selector): 
                writer.writerow(item) 
        time.sleep(5) 
    browser.close() 
if __name__=='__main__': 
    main() 

抓取结果如下:

Python or Java?大数据解读学什么语言最赚钱

将抓取结果循环写入csv文件:

Python or Java?大数据解读学什么语言最赚钱

此外还抓取了Java岗、C++岗、PHP岗、C#岗位4岗的信息,代码和抓取Python岗位信息类似。

二、以Python岗位信息为例,分析影响薪资的因素

这里包括数据清洗部分和数据分析部分两部分内容。

数据清洗部分

data<-read.csv("E://Data For R/RData/Py.csv") 
data[sample(1:nrow(data),size=10),] 

Python or Java?大数据解读学什么语言最赚钱

在抓取过程中,由于将python字典循环写入csv文件,因此列名也被循环写在csv文件中。

Python or Java?大数据解读学什么语言最赚钱

考虑本文主要分析影响薪资的因素,这里去除Name和Company两列。

##去除Name和Company两列 
DATA<-data[,-c(1,2)] 
##将python字典循环写入csv文件时,标题也会被写入,去除多余的标题 
##查找哪些行是标题重复的行 
which(DATA$Salary %in% "Salary") 
 [1]  16  32  48  64  80  96 102 118 134 150 166 182 198 214 230 246 262 278 294 310 326 342 358 374 390 406 422 438 454 470 486 502 518 
[34] 534 550 566 
##去除多余的标题所在的行 
DATA<-DATA[-(which(DATA$Salary %in% "Salary")),] 
dim(DATA) 
[1] 545   4 

1.变量Salary

变量Salary一般都是范围值,用“-”连接,但是不排除有XXK以上,例如10k以上这种表示形式,或者其他形式,这里需要处理一下。

##如果薪资是一个范围值,都是"-"连接,注意,薪资是一个范围值,匹配末尾结束k值需要注意,有大写K和小写k两种形式。 
newdata<-DATA[grep('//-',DATA$Salary),] 
dim(newdata) 
[1] 544   4 
##对比前面dim(DATA),说明薪水少了一行,Salary具有其他的表示形式。 
##这里将范围薪水的值分成底薪和高薪两部分,后面取平均值来表示薪水 
library(tidyr) 
library(stringr) 
newdata<-separate(data=newdata,col=Salary,into=c("lowsalary","highsalary"),sep="-") 
##分别去除后面的k值,注意k有大写和小写两种形式 
newdata$lowsalary<-str_replace(newdata$lowsalary,'k|K',"")##  |表示或的关系 
newdata$highsalary<-str_replace(newdata$highsalary,'k|K',"") 
newdata$lowsalary<-as.numeric(newdata$lowsalary)##转换数据类型 
newdata$highsalary<-as.numeric(newdata$highsalary) 
newdata$salary<-(newdata$lowsalary+newdata$highsalary)/2 
newdadat<-newdata[,-c(1,2)]##去除原有的lowsalary和highsalary 

2.变量Education

###Education部分 
##首先将Education中工作经验和学历分开 
newdata<-separate(data = newdata,col=Education,into=c("Experience","Graduate"),sep = '/') 
table(newdata$Experience) 
经验1-3年     经验1年以下       经验3-5年      经验5-10年        经验不限  经验应届毕业生   
 187               6             261              46              37               7  
table(newdata$Graduate) 
 本科  不限  大专  硕士  
  447    27    63     7  

3.变量Size

##此处以公司人数作为描述公司规模的标准 
newdata<-separate(data=newdata,col=Size,into=c('Type','Rong','Number'),sep='/') 
table(newdata$Number) 
 
 15-50人   150-500人  2000人以上    50-150人  500-2000人    少于15人  
   76         139         117         119          82          11  
table(newdata$Rong) 
A轮          B轮          C轮    D轮及以上   不需要融资     上市公司       天使轮       未融资   
86           81           54           30          132           80           33           48  
##将Type去除    
newdata<-newdata[,-3] 

4.变量Welfare

Welfare<-newdata[,"Welfare"] 
##将Welfare去除 
newdata<-newdata[,-5] 
head(newdata) 

Python or Java?大数据解读学什么语言最赚钱

到此,数据清洗部分内容全部结束。

数据分析部分

1.工资与工作年限的关系

library(ggplot2) 
ggplot(newdata,aes(x=Experience,y=salary))+geom_boxplot(col="red") 

Python or Java?大数据解读学什么语言最赚钱

符合大众的认知,从事python的应届毕业生起始工资平均值在5K左右,且薪资水平跨度最小,经验5-10年,工资水平跨度最大,主要可能是因为,有一部分转为技术管理岗位,工资较低的可能还在继续码代码,是不是对广大同胞们的警告啊.......

2.工资与学历的关系(专科,本科,研究生,不限)

ggplot(newdata,aes(x=Graduate,y=salary))+geom_boxplot(col="red") 

Python or Java?大数据解读学什么语言最赚钱

这里是否能说明学历在一定程度上的重要性?学历本科的工资跨度比较大,因为工作经验的不同导致了薪资的差异。

3.工资与公司融资的关系

ggplot(newdata,aes(x=Rong,y=salary))+geom_boxplot(col="red") 

Python or Java?大数据解读学什么语言最赚钱

对于这部分知识是盲点,但是可以看出融资公司(上市也是一种融资方式)比没有融资的公司平均工资要高出不少,这部分是不是可以是以后找工作的一个风向标。。。

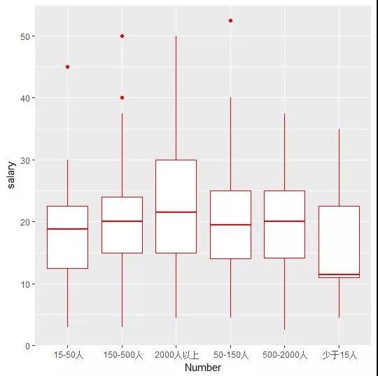
4.工资与公司大小的关系

Python or Java?大数据解读学什么语言最赚钱

公司规模越大,平均的工资也越高。

5.工资与工作时间和学历的关系

library(ggthemes) 
library(scales) 
ggplot(newdata,aes(x=Experience,y=salary,fill=factor(Graduate)))+ 
geom_boxplot()+ 
geom_hline(aes(yintercept=20),color="red",linetype="dashed",lwd=1)+ 
scale_y_continuous(labels=dollar_format())+theme_few() 

Python or Java?大数据解读学什么语言最赚钱

这张图告诉我们,在大部分情况下,没(Ren)钱(Chou)就要多读书。不管是经验经验1年以下、经验3-5年、经验5-10年、经验不限的情况下,拥有硕士学历的平均收入都普遍高于本科,本科都高于大专。(这里完全没有歧视低学历之意)

6.公司福利的云图

##公司福利的云图 
library(jiebaR) 
Welfare<-as.character(Welfare) 
wk = worker() 
seg_words<-wk[Welfare] 
library(plyr) 
library(wordcloud) 
tableWord<-count(seg_words) 
windowsFonts(myFont=windowsFont("华文彩云")) ##使用华文彩云字体 
wordcloud(tableWord[,1],tableWord[,2],random.order=F,col= rainbow(100),family="myFont") 

Python or Java?大数据解读学什么语言最赚钱

现在公司的福利贴有“弹性工作,氛围好,团队,大牛,技术,五险一金”等标签来吸引求职者眼球。

三、5岗之间薪水因素影响比较分析

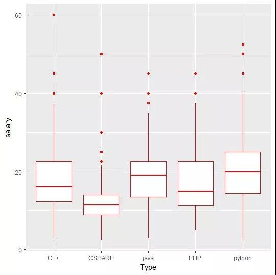
1.Python岗、Java岗、C++岗、PHP岗、C#岗位的平均薪水

Python or Java?大数据解读学什么语言最赚钱

抓取拉勾网职位信息,可以看出python和java的平均薪资较高,C#的平均工资最低。

由此也验证python近几年火热的态势,由于AI的火热,python的需求越来越大,传统的java也比较强势,薪资待遇较高。

2.相同工作经验不同职位信息薪水比较

Python or Java?大数据解读学什么语言最赚钱

对于不同工作经验,不同编程语言平均薪水还是有较大的差异。

3.相同学历信息不同职位信息薪水比较

Python or Java?大数据解读学什么语言最赚钱

通过硕士、本科、大专、不限四种比较,硕士的总体薪资高于本科。

4.同一职位不同学历信息薪水比较

Python or Java?大数据解读学什么语言最赚钱

总的看来,在每个职业,硕士学历的平均薪水高于本科,本科的平均薪水高于大专。

原文  http://bigdata.51cto.com/art/201808/582235.htm
正文到此结束
Loading...