转载

142. Linked List Cycle II

Given a linked list, return the node where the cycle begins. If there is no cycle, return null.

To represent a cycle in the given linked list, we use an integer pos which represents the position (0-indexed) in the linked list where tail connects to. If pos is -1, then there is no cycle in the linked list.

Note: Do not modify the linked list.

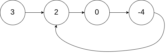
Example 1:

Input: head = [3,2,0,-4], pos = 1
Output: tail connects to node index 1
Explanation: There is a cycle in the linked list, where tail connects to the second node.

142. Linked List Cycle II

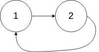
Example 2:

Input: head = [1,2], pos = 0
Output: tail connects to node index 0
Explanation: There is a cycle in the linked list, where tail connects to the first node.

142. Linked List Cycle II

Example 3:

Input: head = [1], pos = -1
Output: no cycle
Explanation: There is no cycle in the linked list.

142. Linked List Cycle II

Follow up:

Can you solve it without using extra space?

难度:medium

题目:给定一链表,返回环的起始结点。如果无环返回空。为了表示链表中的环,使用整数来表示起如结点位置即尾结点所指向的位置。如果位置为-1则表示无环。

注意:不要修改链表。

思路:快慢指针。

Runtime: 0 ms, faster than 100.00% of Java online submissions for Linked List Cycle II.

Memory Usage: 35.2 MB, less than 100.00% of Java online submissions for Linked List Cycle II.

/**
 * Definition for singly-linked list.
 * class ListNode {
 *     int val;
 *     ListNode next;
 *     ListNode(int x) {
 *         val = x;
 *         next = null;
 *     }
 * }
 */
public class Solution {
    public ListNode detectCycle(ListNode head) {
        if (null == head) {
            return head;
        }
        ListNode slow = head, fast = head;
        do {
            slow = slow.next;
            fast = fast.next;
            fast = (fast != null) ? fast.next : fast;
        } while (fast != null && slow != fast);
        if (null == fast) {
            return null;
        }
        for (slow = head; slow != fast; slow = slow.next, fast = fast.next);
        
        return slow;
    }
}
原文  https://segmentfault.com/a/1190000018210205
正文到此结束
Loading...