转载

树结构与Java实现

树结构与Java实现

树结构与Java实现

目录

前言

提到『树』这种数据结构,相信很多人首先想到的就是『二叉树』。

的确,二叉树作为一种重要的数据结构,它结合了数组和链表的优点,有很多重要的应用。

我们都知道,数组的特点是查询迅速,根据index可以快速定位到一个元素。但是,如果要插入一个元素,就需要将这个元素位置之后的所有元素后移。平均来讲,一个长度为N的有序数组,插入元素要移动的元素个数为N/2。有序数组的插入的时间复杂度为O(N),删除操作的时间复杂度也为O(N)。

对于插入和删除操作频繁的数据,不建议采用有序数组。

链表的插入和删除效率都很高,只要改变一些值的引用就行了,时间复杂度为O(1)。但是链表的查询效率很低,每次都要从头开始找,依次访问链表的每个数据项。平均来说,要从一个有N个元素的链表查询一个元素,要遍历N/2个元素,时间复杂度为O(N)

对于查找频繁的数据,不建议使用链表。

本节先不介绍二叉树,而是先讲一下树这种数据结构。相信有了本节的知识作为基础,再了解二叉树就会轻松很多。

树的概念

树结构与Java实现

概述

在计算机科学中,树(英语:tree)是一种抽象数据类型(ADT)或是实现这种抽象数据类型的数据结构,用来模拟具有树状结构性质的数据集合。

它是由n(n>0)个有限节点组成一个具有层次关系的集合。

把它叫做“树”是因为它看起来像一棵倒挂的树,也就是说它是根朝上,而叶朝下的。

它具有以下的特点:

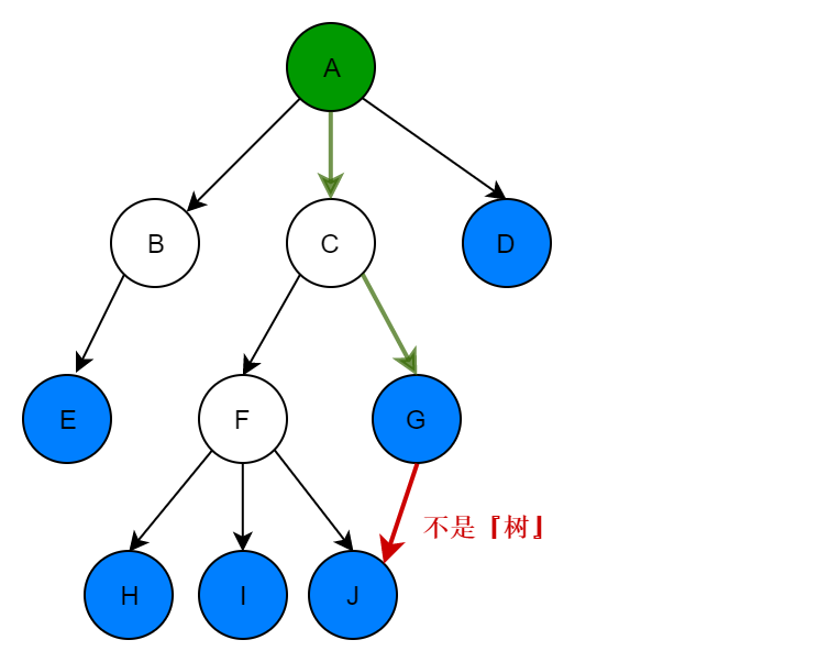
每个节点都只有有限个子节点或无子节点; 没有父节点的节点称为根节点; 每一个非根节点有且只有一个父节点; 除了根节点外,每个子节点可以分为多个不相交的子树; 树里面没有环路(cycle) —— 维基百科

根据树的定义,下面的结构就不是『树』:

树结构与Java实现

术语

树结构与Java实现
  • 路径

从某个节点依次到达另外一个节点所经过的所有节点,就是这两个节点之间的路径。

树顶端的节点被称为根。从根出发到达任意一个节点只有一条路径。

  • 父节点

除了根节点之外,每个节点都可以向上找到一个唯一的节点,这个节点就是当前节点的父节点。相应的,父节点下方的就是子节点。

  • 叶子节点

没有子节点的“光杆司令”就被称为叶子节点。

  • 子树

每个子节点作为根节点的树都是一个子树。

一个树结构的代数就是这个树的层。

一棵树中,最大的节点的度称为树的度。

  • 兄弟节点

具有相同父节点的节点互称为兄弟节点;

实际应用

树结构有非常广泛的应用,比如我们常用的文件目录系统,就是一个树结构。

例如在Windows10操作系统的CMD命令行输入 tree 命令,就可以输出目录树:

tree
卷 Windows 的文件夹 PATH 列表
卷序列号为 1CEB-7ABE
C:.
├─blog
│  ├─cache
│  │  └─JavaCacheGuidance
│  ├─datastructure
│  ├─editor
│  │  └─notepad++
│  ├─framework
│  │  └─guava
│  │      └─retry
│  ├─git
│  └─java
│      └─package-info
├─category
│  ├─food
│  │  ├─fruit
│  │  └─self
│  ├─job
│  │  └─bz
│  │      └─project
│  │          └─ad
│  │              └─exch
│  ├─people
│  ├─practical
│  │  └─work
│  │      └─ecommerce
│  │          └─inventory
│  ├─tech
│  │  ├─algorithm
│  │  │  └─tree
│  │  └─java
│  │      ├─concurrent
│  │      │  └─thread
│  │      ├─design
│  │      ├─i18n
│  │      ├─jcf
│  │      └─spring
│  │          └─springboot
│  └─tool
│      ├─data
│      │  └─db
│      │      ├─mysql
│      │      └─redis
│      └─site
│          └─stackoverflow
└─me
    └─phonephoto
复制代码

实现树

讲解了树结构的特点和相关概念以后,下面用Java实现树结构的基本操作,并演示创建树、添加子节点、遍历树和搜索指定节点等操作。

TreeNode

package net.ijiangtao.tech.algorithms.algorithmall.datastructure.tree;

import java.util.Iterator;
import java.util.LinkedList;
import java.util.List;

/**
 * 实现树结构
 *
 * @author ijiangtao
 * @create 2019-04-18 15:13
 **/
public class TreeNode<T> implements Iterable<TreeNode<T>> {

    /**
     * 树节点
     */
    public T data;

    /**
     * 父节点,根没有父节点
     */
    public TreeNode<T> parent;

    /**
     * 子节点,叶子节点没有子节点
     */
    public List<TreeNode<T>> children;

    /**
     * 保存了当前节点及其所有子节点,方便查询
     */
    private List<TreeNode<T>> elementsIndex;

    /**
     * 构造函数
     *
     * @param data
     */
    public TreeNode(T data) {
        this.data = data;
        this.children = new LinkedList<TreeNode<T>>();
        this.elementsIndex = new LinkedList<TreeNode<T>>();
        this.elementsIndex.add(this);
    }

    /**
     * 判断是否为根:根没有父节点
     *
     * @return
     */
    public boolean isRoot() {
        return parent == null;
    }

    /**
     * 判断是否为叶子节点:子节点没有子节点
     *
     * @return
     */
    public boolean isLeaf() {
        return children.size() == 0;
    }

    /**
     * 添加一个子节点
     *
     * @param child
     * @return
     */
    public TreeNode<T> addChild(T child) {
        TreeNode<T> childNode = new TreeNode<T>(child);

        childNode.parent = this;

        this.children.add(childNode);

        this.registerChildForSearch(childNode);

        return childNode;
    }

    /**
     * 获取当前节点的层
     *
     * @return
     */
    public int getLevel() {
        if (this.isRoot()) {
            return 0;
        } else {
            return parent.getLevel() + 1;
        }
    }

    /**
     * 递归为当前节点以及当前节点的所有父节点增加新的节点
     *
     * @param node
     */
    private void registerChildForSearch(TreeNode<T> node) {
        elementsIndex.add(node);
        if (parent != null) {
            parent.registerChildForSearch(node);
        }
    }

    /**
     * 从当前节点及其所有子节点中搜索某节点
     *
     * @param cmp
     * @return
     */
    public TreeNode<T> findTreeNode(Comparable<T> cmp) {
        for (TreeNode<T> element : this.elementsIndex) {
            T elData = element.data;
            if (cmp.compareTo(elData) == 0)
                return element;
        }

        return null;
    }

    /**
     * 获取当前节点的迭代器
     *
     * @return
     */
    @Override
    public Iterator<TreeNode<T>> iterator() {
        TreeNodeIterator<T> iterator = new TreeNodeIterator<T>(this);
        return iterator;
    }

    @Override
    public String toString() {
        return data != null ? data.toString() : "[tree data null]";
    }

}
复制代码

TreeNodeIterator

package net.ijiangtao.tech.algorithms.algorithmall.datastructure.tree;

import java.util.Iterator;

/**
 *
 * 迭代器
 *
 * @author ijiangtao
 * @create 2019-04-18 15:24
 **/
public class TreeNodeIterator<T> implements Iterator<TreeNode<T>> {

    enum ProcessStages {
        ProcessParent, ProcessChildCurNode, ProcessChildSubNode
    }

    private ProcessStages doNext;

    private TreeNode<T> next;

    private Iterator<TreeNode<T>> childrenCurNodeIter;

    private Iterator<TreeNode<T>> childrenSubNodeIter;

    private TreeNode<T> treeNode;

    public TreeNodeIterator(TreeNode<T> treeNode) {
        this.treeNode = treeNode;
        this.doNext = ProcessStages.ProcessParent;
        this.childrenCurNodeIter = treeNode.children.iterator();
    }

    @Override
    public boolean hasNext() {

        if (this.doNext == ProcessStages.ProcessParent) {
            this.next = this.treeNode;
            this.doNext = ProcessStages.ProcessChildCurNode;
            return true;
        }

        if (this.doNext == ProcessStages.ProcessChildCurNode) {
            if (childrenCurNodeIter.hasNext()) {
                TreeNode<T> childDirect = childrenCurNodeIter.next();
                childrenSubNodeIter = childDirect.iterator();
                this.doNext = ProcessStages.ProcessChildSubNode;
                return hasNext();
            } else {
                this.doNext = null;
                return false;
            }
        }

        if (this.doNext == ProcessStages.ProcessChildSubNode) {
            if (childrenSubNodeIter.hasNext()) {
                this.next = childrenSubNodeIter.next();
                return true;
            } else {
                this.next = null;
                this.doNext = ProcessStages.ProcessChildCurNode;
                return hasNext();
            }
        }

        return false;
    }

    @Override
    public TreeNode<T> next() {
        return this.next;
    }

    /**
     * 目前不支持删除节点
     */
    @Override
    public void remove() {
        throw new UnsupportedOperationException();
    }

}
复制代码

测试

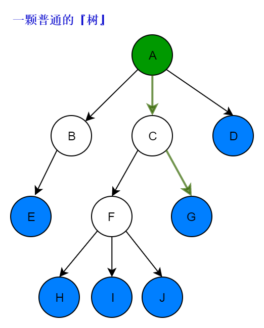
下面实现的树结构,与前面图中的树结构完全相同。

package net.ijiangtao.tech.algorithms.algorithmall.datastructure.tree;

/**
 * tree
 *
 * @author ijiangtao
 * @create 2019-04-18 15:03
 **/
public class TreeDemo1 {

    public static void main(String[] args) {

        System.out.println("********************测试遍历*************************");

        TreeNode<String> treeRoot = getSetA();
        for (TreeNode<String> node : treeRoot) {
            String indent = createIndent(node.getLevel());
            System.out.println(indent + node.data);
        }

        System.out.println("********************测试搜索*************************");

        Comparable<String> searchFCriteria = new Comparable<String>() {
            @Override
            public int compareTo(String treeData) {
                if (treeData == null)
                    return 1;
                boolean nodeOk = treeData.contains("F");
                return nodeOk ? 0 : 1;
            }
        };
        TreeNode<String> foundF = treeRoot.findTreeNode(searchFCriteria);
        System.out.println("F: parent=" + foundF.parent + ",children=" + foundF.children);

    }

    private static String createIndent(int depth) {
        StringBuilder sb = new StringBuilder();
        for (int i = 0; i < depth; i++) {
            sb.append(' ');
        }
        return sb.toString();
    }

    public static TreeNode<String> getSetA() {

        TreeNode<String> A = new TreeNode<String>("A");
        {
            TreeNode<String> B = A.addChild("B");
            TreeNode<String> C = A.addChild("C");
            TreeNode<String> D = A.addChild("D");
            {
                TreeNode<String> E = B.addChild("E");
                TreeNode<String> F = C.addChild("F");
                TreeNode<String> G = C.addChild("G");
                {
                    TreeNode<String> H = F.addChild("H");
                    TreeNode<String> I = F.addChild("I");
                    TreeNode<String> J = F.addChild("J");
                }
            }
        }

        return A;
    }


}
复制代码
  • 输出
********************测试遍历*************************
A
 B
  E
 C
  F
   H
   I
   J
  G
 D
********************测试搜索*************************
F: parent=C,children=[H, I, J]
复制代码

总结

本节我带领大家一起了解了树这种重要的数据结构,并且讲解了树相关的概念和术语,最后为大家实现了基本的树操作。

学习完本节内容,对我们下面要介绍的二叉树,以及Java中 TreeSetTreeMap 的源码,都会有所帮助。

原文  https://juejin.im/post/5cb84d16f265da0387339a3b
正文到此结束
Loading...