转载

全排列两种实现方式(java)—poj2718

全排列两种实现方式(java)—poj2718

全排列:给定几个数,要求找出所有的排列方式。

法一:dfs回溯法:

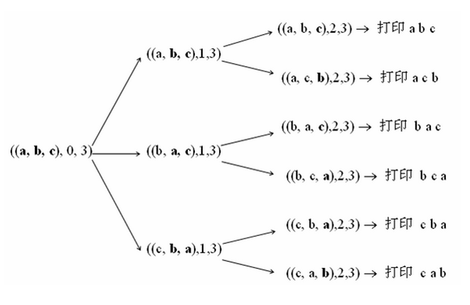
  • 思路:回溯法的核心思路就是模拟过程,其实它相对简单因为你往往不需要考虑它的下一步是什么,你只需关注如果操作这些数。你往往可能不在意数的规则规律但是也能搞出来。
  • 举个例子。有1,2,3,4,5五个数需要全排列。我用回溯法的话我可以用附加的数组,或者list,boolean数组等添加和删除模拟的数据。
  • 比如第一次你可以循环将第一个赋值(1-5),在赋值每个数的时候标记那些用过,那些还能用的数据,执行dfs一直到底层。然后dfs执行完要将数据复原。比如标记的数据进行取消标记等等。

详细代码为

import java.util.Scanner;

public class quanpailie1 {
	public static void main(String[] args) {
				Scanner sc=new Scanner(System.in);
				String s[]=sc.nextLine().split(" ");
				int a[]=new int[s.length];
				for(int i=0;i<s.length;i++)
				{
					a[i]=Integer.parseInt(s[i]);
				}
				int b[]=new int[a.length];
				boolean b1[]=new boolean[a.length];//判断是否被用
				long startTime = System.currentTimeMillis();
				dfs(b1,a,b,0);
				long endTime = System.currentTimeMillis();
				System.out.println("运行时间:" + (endTime - startTime) + "ms");
			}

			private static void dfs(boolean[] b1, int[] a, int b[], int index) {
				// TODO Auto-generated method stub
				int len=a.length;
				if(index==a.length)//停止
				{
					if(b[0]==0) {}
					else {
						for(int j:b)
						{
							System.out.print(j+"  ");
						}
						System.out.println();
					}				
				}
				else 
				for(int i=0;i<len;i++)
				{
					if(!b1[i]) {
						b[index]=a[i];
						b1[i]=true;//下层不能在用
						dfs(b1, a, b,index+1);
						b1[i]=false;//还原
						
					}
				}
				
			}
}
复制代码

输出打印结果为:

输入: 1 2 3 4 1 2 3 4

1 2 4 3

1 3 2 4

1 3 4 2

1 4 2 3

1 4 3 2

2 1 3 4

2 1 4 3

2 3 1 4

2 3 4 1

2 4 1 3

2 4 3 1

3 1 2 4

3 1 4 2

3 2 1 4

3 2 4 1

3 4 1 2

3 4 2 1

4 1 2 3

4 1 3 2

4 2 1 3

4 2 3 1

4 3 1 2

4 3 2 1

运行时间:2ms

法二:递归法

上述方法虽然能够实现全排列,但是方法的复杂度还是很高。指数级别增长。因为要遍历很多没用的情况。所以当数据较大并不能高速处理。所以换一种思路处理。 设[a,b,c,d]为abcd的全排列 那么,该全排列就是 [1,2,3,4]( 四个数的全排列 )=

  • 1 [2,3,4](1开头[2,3,4]的全排列)=

    • 1 2 [3,4] ==(1,2开头的[3,4]全排列)==
      • 1 2 3 [4] =1 2 3 4(1 2 3 开头的[4]全排列)
      • 1 2 4 [3]=1 2 3 4
    • 1 3 [2,4]
      • 1 3 2 [4]=1 3 2 4
      • 1 3 4 [2]=1 3 4 2
    • 1 4 [3,2]
      • 1 4 3 [2]=1 4 3 2
      • 1 4 2 [3]=1 4 2 3
  • 2 [1,3,4]=

    • 2 1 [3,4]
      • 2 1 3 [4]=2 1 3 4
      • 2 1 4 [3]=2 1 4 3
    • 2 3 [1,4]
      • 2 3 1 [4]=2 3 1 4
      • 2 3 4 [1]=2 3 4 1
    • 2 4 [3,1]
      • 2 4 3 [1]=2 4 3 1
      • 2 4 1 [3]=2 4 1 3
  • 3 [2,1,4]=(略)

    • 3 2 [1,4]
    • 3 1 [2,4]
    • 3 4 [3,2]
  • 4 [2,3,1]=(略)

    • 4 2 [3,1]
    • 4 3 [2,1]
    • 4 1 [3,2]

对于全排列递归的模式为:(和dfs很像)

  • isstop?: 判断递归终止
    • stop
    • do not stop:
      • before recursive()
      • recursive()
      • after recursive()

根据上面的数据找点规律吧:

  1. 上面是递归没毛病。整个全排列就是子排列递归到最后遍历的所有情况

  2. 千万别被用回溯的获得全排列的数据影响。博主之前卡了很久一直想着从回溯到得到的数据中找到递归的关系,结果写着写着就写崩了。

  3. 递归的数据有规律。它只关注位置而不关注数据的大小排列。意思是说你不需要纠结每一种排列的初始态是啥。你只要关注他有那些数就行,举个例子,出台为1 [2,3,4]和1 [4,3,2]的效果一样,你需要关注的是1这个部分。1这个部分处理好递归自然会处理好子节点的关系。

  4. 对于同一层级 比如1[],2[],3[],4[],例如1,2,3,4而言,每一层如下的步骤,可以保证同层数据可靠,并且底层按照如下思路也是正确的。

    • 1,2,3,4—>swap(0,0)—>1 [2 3 4] (子递归不用管)—>swap(0,0)—>1,2,3,4
    • 1,2,3,4—>swap(0,1)—>2 [1 3 4] (子递归不用管)—>swap(0,1)—>1,2,3,4
    • 1,2,3,4—>swap(0,2)—>3 [2 1 4] (子递归不用管)—>swap(0,1)—>1,2,3,4
    • 1,2,3,4—>swap(0,3)—>4 [2 3 1] (子递归不用管)—>swap(0,1)—>1,2,3,4
  5. 所以整个全排列函数大致为:

    • 停止
    • 不停止: -for(i from start to end)
      • swap(start,i)//i是从该层后面所有可能的全部要选一次排列到该层
      • recursive(start+1)//该层确定,进入下一层子递归
      • swap(start,i)//因为不能影响同层之间数据,要保证数据都是初始话 具体代码为:
import java.util.Scanner;
public class quanpailie2 {

	public static void main(String[] args) {
		// TODO Auto-generated method stub

		Scanner sc = new Scanner(System.in);
		String s[] = sc.nextLine().split(" ");
		int a[] = new int[s.length];
		for (int i = 0; i < s.length; i++) {
			a[i] = Integer.parseInt(s[i]);
		}
		long startTime = System.currentTimeMillis();
		arrange(a, 0, a.length - 1);
		long endTime = System.currentTimeMillis();
		System.out.println("运行时间:" + (endTime - startTime) + "ms");
	}
	static void arrange(int a[], int start, int end) {

		if (start == end) {		
			for (int i : a) {
				System.out.print(i);
			}
			System.out.println();
			return;
		}
		for (int i = start; i <= end; i++) {
			swap(a, i, start);
			arrange(a, start + 1, end);
			swap(a, i, start);
		}
	}

	static void swap(int arr[], int i, int j) {
		int te = arr[i];
		arr[i] = arr[j];
		arr[j] = te;
	}
}
复制代码

输入输出结果为:

1 2 3 4 1234 1243 1324 1342 1432 1423 2134 2143 2314 2341 2431 2413 3214 3241 3124 3142 3412 3421 4231 4213 4321 4312 4132 4123 运行时间:1ms

你可以发现两者采用的规则不同,输出的数据到后面是不一样的。但是你可能还没体验到大数据对程序运行的影响。我把输出的结果注释掉。用0 1 2 3 4 5 6 7 8 9进行全排序:

全排列两种实现方式(java)—poj2718
全排列两种实现方式(java)—poj2718

对于全排列,建议能采用递归还是递归。因为递归没有额外数组开销。并且计算的每一次都有用。而回溯会有很多无用计算。数只越大越明显。

poj2718

题意就是给几个不重复的数字,让你找出其中所有排列方式中组成的两个数的差值最小。除了大小为0否则0不做开头。

思路:全排列所有情况。最小的一定是该全排列从中间分成2半的数组差。要注意的就是0的处理,不日3个长度的0开头/其他长度的0开头等等。还有的人采用贪心剪枝。个人感觉数据并没有那么有规律贪心不一定好处理,但是你可以适当剪枝减少时间也是可以的。比如根据两个数据的首位 相应剪枝。但这题全排列就可以过。

还有一点就是:数据加减乘除转换,能用int就别用String,string转起来很慢会超时。

附上ac代码,代码可能并不漂亮,前面的介绍也可能有疏漏,还请大佬指出!

import java.io.BufferedReader;
import java.io.IOException;
import java.io.InputStreamReader;
import java.io.OutputStreamWriter;
import java.io.PrintWriter;

public class poj2718 {

	static int min = Integer.MAX_VALUE;
	static int mid = 0;

	public static void main(String[] args) throws IOException {
		// TODO Auto-generated method stub

		BufferedReader in = new BufferedReader(new InputStreamReader(System.in));
		PrintWriter out = new PrintWriter(new OutputStreamWriter(System.out));
		int t = Integer.parseInt(in.readLine());
		for (int q = 0; q < t; q++) {
			String s[] = in.readLine().split(" ");
			int a[] = new int[s.length];
			for (int i = 0; i < s.length; i++) {
				a[i] = Integer.parseInt(s[i]);
			}
			min = Integer.MAX_VALUE;
			mid = (a.length) / 2;
			arrange(a, 0, a.length - 1);
			out.println(min);
			out.flush();
		}
	}
	static void arrange(int a[], int start, int end) {

		if (start == end) {
//			for(int i:a)
//			{
//				System.out.print(i);
//			}
//			System.out.println();

			if ((a[0] == 0 && mid == 1) || (a[mid] == 0 && a.length - mid == 0) || (a[0] != 0 && a[mid] != 0)) {
				int va1 = 0;
				int va2 = 0;
				for (int i = 0; i < mid; i++) {
					va1 = va1 * 10 + a[i];
				}
				for (int i = mid; i < a.length; i++) {
					va2 = va2 * 10 + a[i];
				}
				min = min < Math.abs(va1 - va2) ? min : Math.abs(va1 - va2);
			}
			return;
		}
		for (int i = start; i <= end; i++) {
			swap(a, start, i);
			arrange(a, start + 1, end);
			swap(a, start, i);
		}
	}

	static void swap(int arr[], int i, int j) {
		int te = arr[i];
		arr[i] = arr[j];
		arr[j] = te;
	}
}
复制代码

dfs回溯法github链接

递归法全排列github链接

poj2718代码github链接

如有错误还请大佬指正。

原文  https://juejin.im/post/5cdfb9fa5188251ce35d50ae
正文到此结束
Loading...