转载

垃圾收集器G1详解

G1的第一篇paper(附录1)发表于2004年,在2012年才在jdk1.7u4中可用。oracle官方在jdk9中将G1变成默认的垃圾收集器,以替代CMS。为何oracle要用G1替换CMS呢,G1有哪些优点?下面我将为大家揭开迷雾。

一,了解G1

首先,G1的设计原则就是简单可行的性能调优

开发人员仅仅需要声明以下参数即可:

-XX:+UseG1GC -Xmx32g-XX:MaxGCPauseMillis=200

其中-XX:+UseG1GC为开启G1垃圾收集器,-Xmx32g 设计堆内存的最大内存为32G,-XX:MaxGCPauseMillis=200设置GC的最大暂停时间为200ms。如果我们需要调优,在内存大小一定的情况下,我们只需要修改最大暂停时间即可。

其次,G1将新生代,老年代的物理空间划分取消了。

这样我们再也不用单独的空间对每个代进行设置了,不用担心每个代内存是否足够。 

垃圾收集器G1详解

取而代之的是,G1算法将堆划分为若干个区域(Region),它仍然属于分代收集器。不过,这些区域的一部分包含新生代,新生代的垃圾收集依然采用暂停所有应用线程的方式,将存活对象拷贝到老年代或者Survivor空间。老年代也分成很多区域,G1收集器通过将对象从一个区域复制到另外一个区域,完成了清理工作。这就意味着,在正常的处理过程中,G1完成了堆的压缩(至少是部分堆的压缩),这样也就不会有cms内存碎片问题的存在了。

垃圾收集器G1详解

在G1中,还有一种特殊的区域,叫Humongous区域。 如果一个对象占用的空间超过了分区容量50%以上,G1收集器就认为这是一个巨型对象。这些巨型对象,默认直接会被分配在年老代,但是如果它是一个短期存在的巨型对象,就会对垃圾收集器造成负面影响。为了解决这个问题,G1划分了一个Humongous区,它用来专门存放巨型对象。如果一个H区装不下一个巨型对象,那么G1会寻找连续的H分区来存储。为了能找到连续的H区,有时候不得不启动Full GC。

PS:在java 8中,持久代也移动到了本地内存中,改为元空间。

G1 对象分配策略

说起对象的分配,我们不得不谈谈对象的分配策略。它分为4个阶段:

  1. 栈上分配

  2. TLAB(Thread Local Allocation Buffer)线程本地分配缓冲区

  3. 共享Eden区中分配

  4. Humongous区分配

对象在分配之前会做逃逸分析,如果该对象只会被本线程使用,那么就将该对象在栈上分配。这样对象可以在函数调用后销毁,减轻堆的压力,避免不必要的gc。 如果对象在栈是上分配不成功,就会使用TLAB来分配。TLAB为线程本地分配缓冲区,它的目的为了使对象尽可能快的分配出来。如果对象在一个共享的空间中分配,我们需要采用一些同步机制来管理这些空间内的空闲空间指针。在Eden空间中,每一个线程都有一个固定的分区用于分配对象,即一个TLAB。分配对象时,线程之间不再需要进行任何的同步。

对TLAB空间中无法分配的对象,JVM会尝试在共享Eden空间中进行分配。如果是大对象,则直接在Humongous区分配。

最后,G1提供了两种GC模式,Young GC和Mixed GC,两种都是Stop The World(STW)的。下面我们将分别介绍一下这2种模式。

二,G1 Young GC

Young GC主要是对Eden区进行GC,它在Eden空间耗尽时会被触发。在这种情况下,Eden空间的数据移动到Survivor空间中,如果Survivor空间不够,Eden空间的部分数据会直接晋升到年老代空间。Survivor区的数据移动到新的Survivor区中,也有部分数据晋升到老年代空间中。最终Eden空间的数据为空,GC停止工作,应用线程继续执行。

垃圾收集器G1详解

垃圾收集器G1详解

这时,我们需要考虑一个问题,如果仅仅GC 新生代对象,我们如何找到所有的根对象呢? 老年代的所有对象都是根么?那这样扫描下来会耗费大量的时间。于是,G1引进了RSet的概念。它的全称是RememberedSet,作用是跟踪指向某个heap区内的对象引用。

垃圾收集器G1详解

在CMS中,也有RSet的概念,在老年代中有一块区域用来记录指向新生代的引用。这是一种point-out,在进行Young GC时,扫描根时,仅仅需要扫描这一块区域,而不需要扫描整个老年代。

但在G1中,并没有使用point-out,这是由于一个分区太小,分区数量太多,如果是用point-out的话,会造成大量的扫描浪费,有些根本不需要GC的分区引用也扫描了。于是G1中使用point-in来解决。point-in的意思是哪些分区引用了当前分区中的对象。这样,仅仅将这些对象当做根来扫描就避免了无效的扫描。由于新生代有多个,那么我们需要在新生代之间记录引用吗?这是不必要的,原因在于每次GC时,所有新生代都会被扫描,所以只需要记录老年代到新生代之间的引用即可。

需要注意的是,如果引用的对象很多,赋值器需要对每个引用做处理,赋值器开销会很大,为了解决赋值器开销这个问题,在G1 中又引入了另外一个概念,卡表(Card Table)。一个Card Table将一个分区在逻辑上划分为固定大小的连续区域,每个区域称之为卡。卡通常较小,介于128到512字节之间。CardTable通常为字节数组,由Card的索引(即数组下标)来标识每个分区的空间地址。默认情况下,每个卡都未引用。当一个地址空间有引用时,这个地址空间对应的数组索引的值被标记为"0",即标记为脏引用,此外RSet也将这个数组下标记录下来。一般情况下,这个RSet其实是一个Hash Table,Key是别的Region的起始地址,Value是一个集合,里面的元素是Card Table的Index。

三,G1 Mix GC

Mix GC不仅进行正常的新生代垃圾收集,同时也回收部分后台扫描线程标记的老年代分区。

它的GC步骤分2步:

  1. 全局并发标记(global concurrent marking)

  2. 拷贝存活对象(evacuation)

在进行Mix GC之前,会先进行global concurrent marking(全局并发标记)。 global concurrent marking的执行过程是怎样的呢?

在G1 GC中,它主要是为Mixed GC提供标记服务的,并不是一次GC过程的一个必须环节。global concurrent marking的执行过程分为五个步骤:

  • 初始标记(initial mark,STW)
    在此阶段,G1 GC 对根进行标记。该阶段与常规的     (STW) 年轻代垃圾回收密切相关。

  • 根区域扫描(root region scan)
    G1 GC 在初始标记的存活区扫描对老年代的引用,并标记被引用的对象。该阶段与应用程序(非 STW)同时运行,并且只有完成该阶段后,才能开始下一次 STW 年轻代垃圾回收。

  • 并发标记(Concurrent Marking)
    G1 GC 在整个堆中查找可访问的(存活的)对象。该阶段与应用程序同时运行,可以被 STW 年轻代垃圾回收中断

  • 最终标记(Remark,STW)
    该阶段是 STW 回收,帮助完成标记周期。G1 GC     清空 SATB 缓冲区,跟踪未被访问的存活对象,并执行引用处理。

  • 清除垃圾(Cleanup,STW)
    在这个最后阶段,G1 GC 执行统计和 RSet 净化的 STW 操作。在统计期间,G1 GC 会识别完全空闲的区域和可供进行混合垃圾回收的区域。清理阶段在将空白区域重置并返回到空闲列表时为部分并发。

三色标记算法

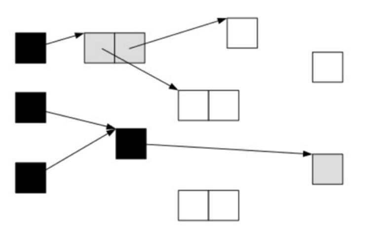
提到并发标记,我们不得不了解并发标记的三色标记算法。它是描述追踪式回收器的一种有用的方法,利用它可以推演回收器的正确性。首先,我们将对象分成三种类型的。

  • 黑色:根对象,或者该对象与它的子对象都被扫描

  • 灰色:对象本身被扫描,但还没扫描完该对象中的子对象

  • 白色:未被扫描对象,扫描完成所有对象之后,最终为白色的为不可达对象,即垃圾对象

当GC开始扫描对象时,按照如下图步骤进行对象的扫描:

  1. 根对象被置为黑色,子对象被置为灰色。

    垃圾收集器G1详解

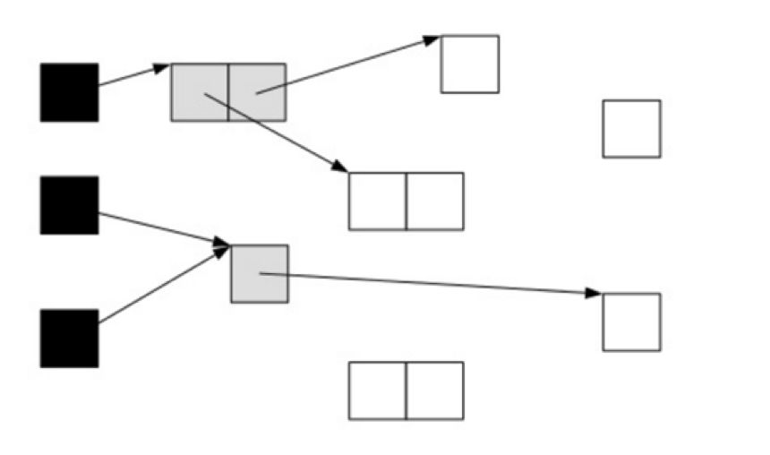
  1. 继续由灰色遍历,将已扫描了子对象的对象置为黑色。

    垃圾收集器G1详解

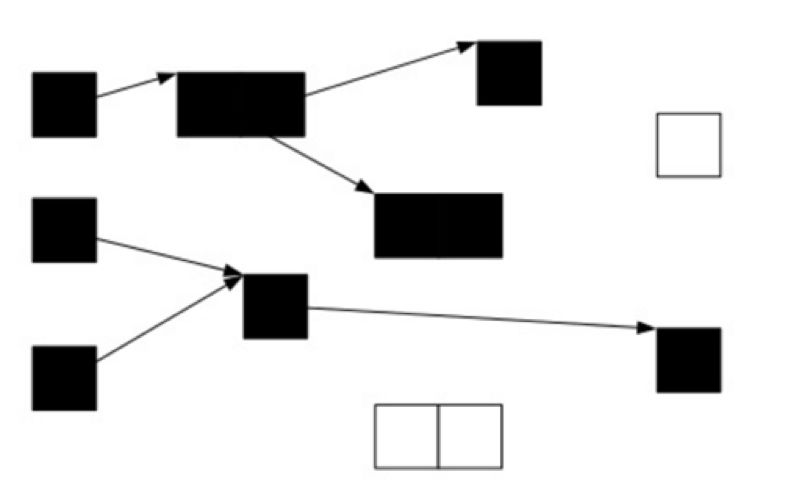
  1. 遍历了所有可达的对象后,所有可达的对象都变成了黑色。不可达的对象即为白色,需要被清理。

    垃圾收集器G1详解

这个过程看起来很美好,但是如果在标记过程中,应用程序也在运行,那么对象的指针就有可能改变。这样的话,我们就会遇到一个问题:对象丢失问题

我们看下面一种情况,当垃圾收集器扫描到下面情况时:

垃圾收集器G1详解

这时候应用程序执行了以下操作:


 

A.c=C

B.c=null

这样,对象的状态图变成如下情形:

垃圾收集器G1详解

这时候垃圾收集器再标记扫描的时候就会下图成这样:

很显然,此时C是白色,被认为是垃圾需要清理掉,显然这是不合理的。那么我们如何保证应用程序在运行的时候,GC标记的对象不丢失呢?有如下2中可行的方式:

  1. 在插入的时候记录对象

  2. 在删除的时候记录对象

刚好这对应CMS和G1的2种不同实现方式:

在CMS采用的是增量更新(Incremental update),只要在写屏障(write barrier)里发现要有一个白对象的引用被赋值到一个黑对象 的字段里,那就把这个白对象变成灰色的。即插入的时候记录下来。

在G1中,使用的是STAB(snapshot-at-the-beginning)的方式,删除的时候记录所有的对象,它有3个步骤:

1,在开始标记的时候生成一个快照图标记存活对象

2,在并发标记的时候所有被改变的对象入队(在write barrier里把所有旧的引用所指向的对象都变成非白的)

3,可能存在游离的垃圾,将在下次被收集

这样,G1到现在可以知道哪些老的分区可回收垃圾最多。 当全局并发标记完成后,在某个时刻,就开始了Mix GC。这些垃圾回收被称作“混合式”是因为他们不仅仅进行正常的新生代垃圾收集,同时也回收部分后台扫描线程标记的分区。混合式垃圾收集如下图:

垃圾收集器G1详解

混合式GC也是采用的复制的清理策略,当GC完成后,会重新释放空间。

垃圾收集器G1详解

至此,混合式GC告一段落了。下一小节我们讲进入调优实践。

四,调优实践

MaxGCPauseMillis 调优

前面介绍过使用GC的最基本的参数:

-XX:+UseG1GC -Xmx32g-XX:MaxGCPauseMillis=200

前面2个参数都好理解,后面这个MaxGCPauseMillis参数该怎么配置呢?这个参数从字面的意思上看,就是允许的GC最大的暂停时间。G1尽量确保每次GC暂停的时间都在设置的MaxGCPauseMillis范围内。 那G1是如何做到最大暂停时间的呢?这涉及到另一个概念,CSet(collection set)。它的意思是在一次垃圾收集器中被收集的区域集合。

  • Young GC:选定所有新生代里的region。通过控制新生代的region个数来控制young GC的开销。

  • Mixed GC:选定所有新生代里的region,外加根据global concurrent marking统计得出收集收益高的若干老年代region。在用户指定的开销目标范围内尽可能选择收益高的老年代region。

在理解了这些后,我们再设置最大暂停时间就好办了。首先,我们能容忍的最大暂停时间是有一个限度的,我们需要在这个限度范围内设置。但是应该设置的值是多少呢?我们需要在吞吐量跟MaxGCPauseMillis之间做一个平衡。如果MaxGCPauseMillis设置的过小,那么GC就会频繁,吞吐量就会下降。如果MaxGCPauseMillis设置的过大,应用程序暂停时间就会变长。G1的默认暂停时间是200毫秒,我们可以从这里入手,调整合适的时间。

其他调优参数

-XX:G1HeapRegionSize=n

设置的 G1 区域的大小。值是 2 的幂,范围是 1 MB 到 32 MB 之间。目标是根据最小的 Java 堆大小划分出约 2048 个区域。

-XX:ParallelGCThreads=n

设置 STW 工作线程数的值。将 n 的值设置为逻辑处理器的数量。n 的值与逻辑处理器的数量相同,最多为 8。

如果逻辑处理器不止八个,则将 n 的值设置为逻辑处理器数的 5/8 左右。这适用于大多数情况,除非是较大的 SPARC 系统,其中 n 的值可以是逻辑处理器数的 5/16 左右。

-XX:ConcGCThreads=n

设置并行标记的线程数。将 n 设置为并行垃圾回收线程数 (ParallelGCThreads) 的 1/4 左右。

-XX:InitiatingHeapOccupancyPercent=45

设置触发标记周期的 Java 堆占用率阈值。默认占用率是整个 Java 堆的 45%。

避免使用以下参数:

避免使用 -Xmn 选项或 -XX:NewRatio 等其他相关选项显式设置年轻代大小。固定年轻代的大小会覆盖暂停时间目标。

触发Full GC

在某些情况下,G1触发了Full GC,这时G1会退化使用Serial收集器来完成垃圾的清理工作,它仅仅使用单线程来完成GC工作,GC暂停时间将达到秒级别的。整个应用处于假死状态,不能处理任何请求,我们的程序当然不希望看到这些。那么发生Full GC的情况有哪些呢?

  • 并发模式失败

G1启动标记周期,但在Mix GC之前,老年代就被填满,这时候G1会放弃标记周期。这种情形下,需要增加堆大小,或者调整周期(例如增加线程数-XX:ConcGCThreads等)。

  • 晋升失败或者疏散失败

G1在进行GC的时候没有足够的内存供存活对象或晋升对象使用,由此触发了Full GC。可以在日志中看到(to-space exhausted)或者(to-space overflow)。解决这种问题的方式是:

  1. 增加 -XX:G1ReservePercent 选项的值(并相应增加总的堆大小),为“目标空间”增加预留内存量。

  2. 通过减少 -XX:InitiatingHeapOccupancyPercent 提前启动标记周期。

  3. 也可以通过增加 -XX:ConcGCThreads 选项的值来增加并行标记线程的数目。

  • 巨型对象分配失败

当巨型对象找不到合适的空间进行分配时,就会启动Full GC,来释放空间。这种情况下,应该避免分配大量的巨型对象,增加内存或者增大-XX:G1HeapRegionSize,使巨型对象不再是巨型对象。

由于篇幅有限,G1还有很多调优实践,在此就不一一列出了,大家在平常的实践中可以慢慢探索。

附录:

1) The original G1 paper: Detlefs, D., Flood,C., Heller, S., and Printezis, T. 2004. Garbage-first garbage collection. InProceedings of the 4th international Symposium on Memory Management (Vancouver,BC, Canada, October 24 - 25, 2004)

垃圾收集器G1详解

原文  http://mp.weixin.qq.com/s?__biz=MzI1NDc5MzIxMw==&mid=2247485724&idx=1&sn=b73649b3d0f99a884e9d4ba4fa40775b
正文到此结束
Loading...