转载

Java八大排序算法之归并排序

一、动图演示

Java八大排序算法之归并排序

二、思路分析

归并排序就是递归得将原始数组递归对半分隔,直到不能再分(只剩下一个元素)后,开始从最小的数组向上归并排序

1.  向上归并排序的时候,需要一个暂存数组用来排序,

2.  将待合并的两个数组,从第一位开始比较,小的放到暂存数组,指针向后移,

3.  直到一个数组空,这时,不用判断哪个数组空了,直接将两个数组剩下的元素追加到暂存数组里,

4.  再将暂存数组排序后的元素放到原数组里,两个数组合成一个,这一趟结束。

根据思路分析,每一趟的执行流程如下图所示:

Java八大排序算法之归并排序

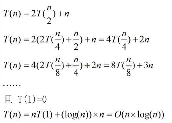
三、负杂度分析

1.  时间复杂度:递归算法的时间复杂度公式:T[n] = aT[n/b] + f(n)

Java八大排序算法之归并排序

无论原始数组是否是有序的,都要递归分隔并向上归并排序,所以时间复杂度始终是O(nlog2n)

2.  空间复杂度:

每次两个数组进行归并排序的时候,都会利用一个长度为n的数组作为辅助数组用于保存合并序列,所以空间复杂度为O(n)

四、Java 代码如下

import java.util.Arrays;

public class Main {

public static void main(String[] args) {

int[] arr = new int[]{3,6,4,7,5,2};

merge(arr,0,arr.length-1);

System.out.println(Arrays.toString(arr));

}

//归并

public static void merge(int[] arr,int low,int high){

int center = (high+low)/2;

if(low<high){

//递归,直到low==high,也就是数组已不能再分了,

merge(arr,low,center);

merge(arr,center+1,high);

//当数组不能再分,开始归并排序

mergeSort(arr,low,center,high);

System.out.println(Arrays.toString(arr));

}

}

//排序

public static void mergeSort(int[] arr,int low,int center,int high){

//用于暂存排序后的数组的临时数组

int[] tempArr = new int[arr.length];

int i = low,j = center+1;

//临时数组的下标

int index = 0;

//循环遍历两个数组的数字,将小的插入到临时数组里

while(i<=center && j<= high){

//左边数组的数小,插入到新数组

if(arr[i]<arr[j]){

tempArr[index] = arr[i];

i++;

}else{//右边数组的数小,插入到新数组

tempArr[index] = arr[j];

j++;

}

index++;

}

//处理左半边数组多余的数据,将左半边多余的数据直接追加的临时数组的后面

while(i<=center){

tempArr[index] = arr[i];

i++;

index++;

}

//处理右半边数组多余的数据,将右半边多余的数据直接追加的临时数组的后面

while(j<= high){

tempArr[index] = arr[j];

j++;

index++;

}

//将临时数组中的数据重新放进原数组

for (int k = 0; k < index; k++) {

arr[k+low] = tempArr[k];

}

}

}

Linux公社的RSS地址 : https://www.linuxidc.com/rssFeed.aspx

本文永久更新链接地址: https://www.linuxidc.com/Linux/2019-08/159804.htm

原文  https://www.linuxidc.com/Linux/2019-08/159804.htm
正文到此结束
Loading...