转载

哪种人是软件设计中的稀缺型人才?

哪种人是软件设计中的稀缺型人才?

阿里妹导读: 好的系统架构离不开好的接口设计,因此,真正懂接口设计的人往往是软件设计队伍中的稀缺型人才。

为什么在接口制定标准中说: 一流的企业做标准,二流的企业做品牌,三流的企业做产品? 依赖倒置到底是什么意思? 什么时候使用接口才算合理?

今天,阿里匠人——张建飞将为你详细解读。

接口有什么好处(Why)

在我看来,接口在软件设计中主要有两大好处:

1. 制定标准

标准规范的制定离不开接口,制定标准的目的就是为了让定义和实现分离,而接口作为完全的抽象,是标准制定的不二之选。

这个世界的运转离不开分工协作,而分工协作的前提就是标准化。试想一下,你家的电脑能允许你把显卡从NVIDIA换成七彩虹;你家的灯泡坏了,你可以随便找一个超市买一个新的就可以换上;你把数据从Oracle换成了MySQL,但是你基于JDBC写的代码都不用动。等等这些事情的背后都是因为接口,以及基于接口定制的标准化在起作用。

在Java的世界里,有一个很NB的社区叫JCP( Java Community Process),就是专门通过JSR(Java Specification Request)来制定标准的。正是有了JSR-315(Java Servlet),我们服务端的代码才能在Tomcat和Jetty之间自由切换。

哪种人是软件设计中的稀缺型人才?

最后,我想用一句话来总结一下标准的重要性,那就是:“一流的企业做标准,二流的企业做品牌,三流的企业做产品。

2. 提供抽象

除了标准之外,接口还有一个特征就是抽象。正是这样的抽象,得以让接口的调用者和实现者可以完全的解耦。

解耦的好处是调用者不需要依赖具体的实现,这样也就不用关心实现的细节。这样,不管是实现细节的改动,还是替换新的实现,对于调用者来说都是透明的。

这种扩展性和灵活性,是软件设计中,最美妙的设计艺术之一。一旦你品尝过这种“依赖接口”的设计来带的美好,就不大会再愿意回到“依赖实现”的简单粗暴。平时我们说的“面向接口编程原则”和“依赖倒置原则”说的都是这种设计。

另外,一旦你融会贯通的掌握了这个强大的技巧——面向抽象、面向接口,你会发现,虽然面向实现和面向接口在代码层面的差异不大,但是其背后所隐含的设计思想和设计理念的差异,不亚于我篮球水平和詹姆斯篮球水平之间的差异!

//面向接口

Animal dog = new Dog();


//面向实现

Dog dog = new Dog();

作为一名资深职场老兵,我墙裂建议各位在做系统设计、模块设计、甚至对象设计的时候。要多考虑考虑更高层次的抽象——也就是接口,而不是一上来就陷入到实现的细节中去。要清楚的意识到接口设计是我们系统设计中的主要工作内容。 而这种可以跳出细节内容,站在更高抽象层次上,来看整个系统的模块设计、模块划分、模块交互的人,正是我们软件设计队伍中,非常稀缺的人才。 有时候,我们也管这些人叫架构师。

什么时候要用接口(When)

有扩展性需求的时候

可扩展设计,主要是利用了面向对象的多态特性,所以这里的接口是一个广义的概念,如果用编程语言的术语来说,它既可以是Interface,也可能是Abstract Class。

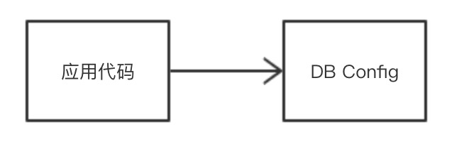
这种扩展性的诉求在软件工作中可以说无处不在,小到一个工具类。例如,我现在系统中需要一个开关的功能,开关的配置目前是用数据库做配置的,但是后续可能会迁移到Diamond配置中心,或者SwitchCenter上去。

简单做法就是,我直接用数据库的配置去实现开关功能,如下图所示:

哪种人是软件设计中的稀缺型人才?

但是这样做的问题很明显,当需要切换新的配置实现的话,就不得不扒开原来的应用代码做修改了。更恰当的做法应该是提供一个Switch的接口,让不同的实现去实现这个接口,从而在切换配置实现的时候,应用代码不再需要更改了。

哪种人是软件设计中的稀缺型人才?

如果说,上面的重构只是使用策略模式对代码进行了局部优化,做了当然更好,不做的话,影响也还好,可以将就着过。

那么接下来我要给大家介绍的场景,就不仅仅是“要不要”的问题,而是“不得不”的问题了。

例如,老板给你布置了一个任务,实现一个类似于eclipse可以可插拔(Pluggable)的产品,此时,使用接口就不仅仅是一个选择问题了,而是你不得不使用的架构方法了。因为, 可插拔的本质就是,你制定一个标准接口(API),然后有不同的实现者去做插件的实现,最后再由PluginManager把这个插件机制串起来而已。

下图是我当时给ICBU设计的一个企业协同云的Pluggable架构,其本质上,也就是基于接口的一种标准和扩展的设计。

哪种人是软件设计中的稀缺型人才?

需要解耦的时候

上面介绍的关于Switch的例子,从表面上来看,是扩展性的诉求。但不可扩展的本质原因正是因为耦合性。当我们通过Switch Interface来解开耦合之后,扩展性的诉求也就迎刃而解了。

发现这种耦合性,对系统的可维护性至关重要。有一些耦合比较明显(比如Switch的例子)。但更多的耦合是隐式的,并没有那么明显,而且在很长一段时间,它也不是什么问题,但是,一旦它变成一个问题,将是一个非常头痛的问题。

一个真实的典型案例,就是java的logger,早些年,大家使用commons-logging、log4j并没有什么问题。然而,此处一个隐患正在生长——那就是对logger实现的强耦合。

当logback出来之后,事情开始变得复杂,当我们想替换一个新的logger vendor的时候,为了尽量减少代码改动,不得不上各种Bridge(桥接),到最后日志代码变成了谁也看不懂的代码迷宫。下图就是我费了九头二虎之力,才梳理清楚的一个老业务系统的日志框架依赖情况。

哪种人是软件设计中的稀缺型人才?

试想一下,假如一开始我们就能遇见到这种紧耦合带来的问题。在应用和日志框架之间加入一层抽象解耦。后续的那么多桥接,那么多的向后兼容都是可以省掉的麻烦。 而我们所要做的事情,实际上也很简单——就是加一个接口做解耦而已 (如下图所示):

哪种人是软件设计中的稀缺型人才?

要给外界提供API的时候

上文已经介绍过JCP和JSR了,大家有空可以去阅读一些JSR的文档。不管是做的比较成功的JSR-221(JDBC规范)、JSR-315(Servlet规范),还是比较失败的JSR-94(规则引擎规范)等等。其本质上都是在定义标准、和制定API。 其规范的内容都是抽象的,其对外发布的形式都是接口,它不提供实现,最多会指导实现。

还有就是我们通常使用的各种开放平台的SDK,或者分布式服务中RPC的二方库,其包含的主要成分也是接口,其实现不在本地,而是在远程服务提供方。

类似于这种API的情况,都是在倒逼开发者要把接口想清楚。我想,这也算微服务架构一个漂亮的“副作用”吧。当原来单体应用里的各种耦合的业务模块,一旦被服务化之后,就自然而然的变成“面向接口”的了。

通过依赖倒置来实现面向接口(How)

关于依赖倒置,我以前写过不少文章,来阐述它的重要性。实际上,我上面给出的关于扩展需求的Switch案例,关于解耦的logger案例。其背后用来解决问题的方法论都是依赖倒置。

哪种人是软件设计中的稀缺型人才?

如上图所示,依赖倒置原则主要规定了两件事情:

1. 高层模块不应该依赖底层模块,两者都应该依赖抽象(如上面的图2所示)

2. 抽象不应该依赖细节,细节应该依赖抽象。

我们回头看一下,不管是Switch的设计,还是抽象Logger的设计,是不是都在遵循上面的两条定义内容呢。

实际上,DIP(依赖倒置原则)不光在对象设计,模块设计的时候有用。在架构设计的时候也非常有用,比如,我在做COLA 1.0的时候,和大多数应用架构分层设计一样,默许了Domain层可以依赖Infrastructure层。

哪种人是软件设计中的稀缺型人才?

这种看起来“无伤大雅”的设计,实际上还是存在不小的隐患,也违背了我当初想把业务复杂度和技术复杂度分开的初心,当业务变得更加复杂的时候,这种“偷懒”行为很可能会导致Domain层堕落成大泥球(Big mud ball)。因此,在COLA 2.0的时候,我决定用DIP来反转Domain层和Infrastructure层的关系,最终形成如下的结构:

哪种人是软件设计中的稀缺型人才?

这样做的好处是Domain层会变得更加纯粹,其好处体现在以下三点:

1、解耦:  Domain层完全摆脱了对技术细节(以及技术细节带来的复杂度)的依赖,只需要安心处理业务逻辑就好了。

2、并行开发 : 只要在Domain和Infrastructure约定好接口,可以有两个同学并行编写Domain和Infrastructure的代码。

3、可测试性:  没有任何依赖的Domain里面都是POJO的类,单元测试将会变得非常方便,也非常适合TDD的开发。

什么时候不需要接口

"劲酒虽好,可不要贪杯哦!"

和许多其它软件原则一样,面向接口很好,但也不应该是不分背景、不分场合胡乱使用的杀手锏和尚方宝剑。因为过多的使用接口,过多的引入间接层也会带来一些不必要的复杂度。

比如,我就看过有些应用的内部模块设计的过于“灵活”,给什么DAO、Convertor都加上一层Interface,但实际情况是,应用中对DAO、Convertor的实现进行替换的可能性极低。类似于这样的,装模作样,装腔作势的Interface就属于可有可无的鸡骨头(比鸡肋还低一个档次)。

就像《Effective Java》的作者Joshua Bloch所说:

“同大多数学科一样,学习编程的艺术首先要学会基本的规则,然后才能知道什么时候可以打破这些规则。”

想来阿里巴巴工作吗?

想拿阿里offer,成为我的同事吗? 识别下方二维码或点击 “阅读原文” 看看菜鸟网络Java研发工程师的4面经验。

哪种人是软件设计中的稀缺型人才?

你可能还喜欢

点击下方图片即可阅读

哪种人是软件设计中的稀缺型人才?

从0到千万DAU,这5年闲鱼架构如何演进?

哪种人是软件设计中的稀缺型人才?

真香! 阿里工程师的一段代码让我看饿了

哪种人是软件设计中的稀缺型人才?

关注 「阿里技术」

把握前沿技术脉搏

哪种人是软件设计中的稀缺型人才?

戳这里, 获取阿里Java面试经验!

原文  http://mp.weixin.qq.com/s?__biz=MzIzOTU0NTQ0MA==&mid=2247492022&idx=1&sn=6cc1a99a04fa9e13bdda89b2f7ba8412
正文到此结束
Loading...