转载

为什么大部分人做不了架构师?这2点是关键

为什么大部分人做不了架构师?这2点是关键

阿里妹导读:选择有时候比努力重要,真正厉害的人不仅仅是埋头苦干,而是会利用好的思维方式、好的方法,看穿事物的本质,顺势而为,找到事情的最优解,并懂得举一反三。架构师是程序员的目标之一,但大多数程序员无法成为架构师。真正厉害的架构师具备什么样的思维方式,到底强在哪?今天,韩帅为你揭秘。

韩帅的其他文章:《架构整洁之道,看这一篇就够了!》

世界上所有的道理都是相通的,而有一些相似到令人吃惊,模型思考者和架构师就是如此。《模型思考者》是密西根大学教授 斯科特·佩奇 的一本书,这本书的目的是教大家如何理解和应对这个复杂的世界。目前这本书的中文版还没正式出版,得到 万维钢精英日课中有15节课程讲解。

这一篇文章是篇读书笔记,内容来自荣华老师的文章,还有万维钢精英日课中对《模型思考者》的讲解,结合一些自己的理解和思考。学习了这些后,我的学习和成长都有了框架有了方向,如果你觉得很有收获,可以阅读原著,欢迎留言区交流。荣华老师的原文还未正式发布,这里在荣华老师同意下,节选了部分内容,识别下方二维码或点击文末 “阅读原文” ,即可阅读,供大家参考、学习。

为什么大部分人做不了架构师?这2点是关键

一、什么是架构?

ISO/IEC 42010:20072 中对架构的定义如下:

The fundamental organization of a system, embodied in its components, their relationships to each other and the enviroment, and the principles governing its design and evolution.

ISO/IEC 42010

为什么大部分人做不了架构师?这2点是关键

这里定义了架构的三要素:

  • 职责明确的模块或者组件

  • 组件间明确的关联关系

  • 约束和指导原则

越是简单抽象的定义,越是美,越是通用。小到一个玩具,大到一个国家的运作都可以隐含着这样的内容。

举两个简单的例子,我们来一起看他们的三要素分别是什么。

软件架构

为什么大部分人做不了架构师?这2点是关键

  • 模块:模型、域

  • 关系:一对一、一对多(模型);依赖(域)

  • 原则:单一职责、开闭原则、里氏替换原则等等

组织架构

为什么大部分人做不了架构师?这2点是关键

  • 模块:部门

  • 关系:管理 or 上报

  • 原则:各种管理原则、财务原则

从不同的角度来丰富架构的定义:

  • 架构的原则是简单,但不能有遗漏;

  • 架构的目的是解决问题。问题的尺度上,可以大到国家战略问题、经济问题、民生问题,也可以小到一只钢笔如何均匀地吐墨;时间上,可以是当下的问题,也可以是预期以后会发生的问题;

  • 架构不是一成不变的,它只适合于特定的场景。过去的架构不一定适合现在,当下的架构不一定能预测未来。

二、什么是架构师?

架构师是一个角色,定义角色其实是定义职责,架构师的职责是:识别并定义问题,创建、选择或调整架构,从而找到最优的方案,解决问题。

这其实也是架构师做事的一般套路:定义问题->确定架构->提出方案->落地拿结果。这四步中,越是前面的步骤,越是重要,越是抽象,也越是困难,越能体现架构师的功力。

1.什么是问题?

问题的定义很宽泛,生存或是毁灭?这是一个问题。晚上去吃烧烤不?也是一个问题。架构师常说,我的架构解决了什么问题,这里的问题不是一般性的问题,而是特指马克思哲学中的矛盾(矛盾的定义也很宽泛,注意这里是马克思哲学中的矛盾)。

问题就是事物的矛盾。哪里有没有解决的矛盾,哪里就有问题。

——毛泽东

任何事物都是作为矛盾统一体而存在的,矛盾是事物发展的源泉和动力。

——马克思

架构师要定义和解决的问题,就是特定领域中的矛盾,解决了矛盾,就得到了发展,取得了收益。

关于问题本质的更多解读,请阅读附录部分荣华老师的原文:如何自顶向下构建架构(进阶之路)。

既然架构师眼中的问题就是马克思哲学中的矛盾,我们就可以从马克思哲学中学习定义问题的系统方法,比如矛盾分主要矛盾、次要矛盾。主要矛盾指:在事物发展过程中处于支配地位,对事物发展起决定作用的矛盾;次要矛盾指:处于从属地位、对事物发展不起决定作用的矛盾;主次矛盾相互依赖、相互影响,并在一定条件下相互转化。

当我们面对复杂的问题时要不断反思,这是不是主要问题?是不是当下最主要的问题?

2.如何区分问题、手段、挑战

我们述职或晋升时常常要说问题、手段、挑战,但这些概念总是混淆在一起,很难区分一件事情是问题还是手段。其实问题、手段、挑战都是一回事,都是矛盾,只是层次不同。比如:

为什么大部分人做不了架构师?这2点是关键

每一个问题可以向下不断展开不断细化,下一级的问题是上一级问题的具体解决手段,当你把“提升性能”当做你Owner的问题时,提升帧率、提高页面秒开率、优化启动耗时就成为了你的具体解决手段;而手段的下一级问题,就是你将面临的挑战,比如你要优化网络耗时,你要面临的挑战就有弱网环境、一些国家区域的带宽问题等等。同理,当你把“提升用户体验”当做你Owner的问题,“提升性能”就变成了你的具体手段,帧率、秒开率、启动耗时就成为了挑战。

3.如何定义问题

The significant problems we face cannot be solved at the same level of thinking we were at when we created them.——爱因斯坦

荣华老师把爱因斯坦这种思想定义为升层思考:我们不能只局限于问题本身,还需要看到问题背后的问题,然后才能更容易找到更多的解决方案。

亨利福特说,如果我问客户需要什么,他们会告诉我,他们需要一匹更快的马。从亨利福特的这句话,我们可以提炼出一个最直接的问题:客户需要一匹更快的马。立足这个问题本身去找解决方案,可能永远交不出满意的答卷:寻找更好的品种,更科学的训马方式。

思考问题背后的问题,为什么客户需要一匹更快的马?可能客户想要更快的日常交通方式,上升了一个层次后,我们立刻找到了更好的解决方案:造车。

阅读了本段内容,相信你不仅仅理解了什么是架构师,也理解了架构师的做事套路和思考方式。

三、什么是模型?

《模型思考者》中对模型的定义是这样的:

模型是对真实世界的抽象,明确定义了各种元素、以及元素之间的关系,可以用来做逻辑推导。

对比架构三要素和模型的定义,相同点是都有元素(组件),以及元素(组件)间的关系。不同的是,架构强调约束和指导原则,用来指导我们如何做事;模型强调逻辑推导能力,指导我们在现有规律下寻找答案或寻求最优解。

举个使用模型解决问题的例子:如果你是一位高中班主任,想要提高班级中考试成绩大于90分的人数,你应该怎么做?

首先要找到正确的模型。关键元素有两个:考试成绩、相应的学生人数,这两个元素之间的关系是正态分布函数,所以应该使用的是正态分布模型。

然后使用模型做推导,找到问题的最优解。正态分布函数有两个关键变量:均值、方差,只要这两个变量确定了,正态分布就唯一确定了。想要提高班级中考试成绩大于90分的人数,我们有两个选择,提高均值,或者提高方差。即使忽略提高方差带来的负面影响(成绩差的同学也更多了),提高方差带来的正面影响也远远逊色于提高均值,特别是当均值接近90分时,均值哪怕提高1分,大于90分的人数都有巨大提升。

最后根据推导结果,确定具体落地方案。放弃提高方差的方法,比如给成绩好的同学特别的照顾,把成绩不好的同学座位调到后排。多采取提升均值的方法,比如培养班级的学习氛围,成立学习小组等等。

四、什么是模型思考者?

参考架构师,用模型思考者的做事方式来给它下定义:面对问题,能看穿客观事物的本质,选取或构建合适的模型,推导出问题的最优解。

就像架构和模型的定义类似,只是突出的重点不同一样,架构师和模型思考者的定义也很类似,重点也不同。架构师的重点是定义问题、解决问题、推动事物发展;模型思考者的重点是看穿事物的本质,遵循规律,找到最优解。

接下来介绍几个惊艳的模型:

1.认知模型(认知金字塔): 这个模型揭示的是认知的本质,给出了一条提升认知的最佳实践。

为什么大部分人做不了架构师?这2点是关键

模型解释:

金字塔的最底层是数据。数据代表各种事件和现象。数据本身没有组织和结构,也没有意义。数据只能告诉你发生了什么,并不能让你理解为什么会发生。

数据的上一层是信息。信息是结构化的数据。信息是很有用的,可以用来做分析和解读。

信息再往上一层是知识。知识能把信息组织起来,告诉我们事件之间的逻辑联系。有云导致下雨,因为下雨所以天气变得凉快,这都是知识。成语典故和思维套路都是知识。模型,则可以说是一种高级知识,能解释一些事情,还能做预测。

认知金字塔的最上一层,是智慧。智慧是识别和选择相关知识的能力。你可能掌握很多模型,但是具体到这个问题到底该用哪个模型,敢不敢用这个模型,就是智慧。

来源:得到付费课程《精英日课》 作者:万维钢

模型的应用:

  • 信息焦虑:处在信息时代,很多人都有信息焦虑,生怕自己每天阅读的信息不够多而被时代抛下,每天疲于输入新的信息,没时间思考总结,结果随着信息的遗忘,什么也没留下。其实相比于信息,模型并没有那么多,我们应该花更多的时间总结模型,明确模型的使用范围(智慧)。

  • 数据分析:开发完一个功能,加一些埋点,跑sql能拿到数据,做报表能拿到信息,针对报表所做的分析属于知识。反思一下自己,有多少埋点还没跑数据,有多少数据还没结构化为信息?多少信息还没做分析?多少分析还没做下一步决策?

  • 指导投资:DALIO 的《原则》一书中提到了桥水基金挣钱方法:不断采集市场数据,使用计算机加工数据抽象模型,根据模型自动做投资决策。计算机的这个行为,不就是模型思考者吗?

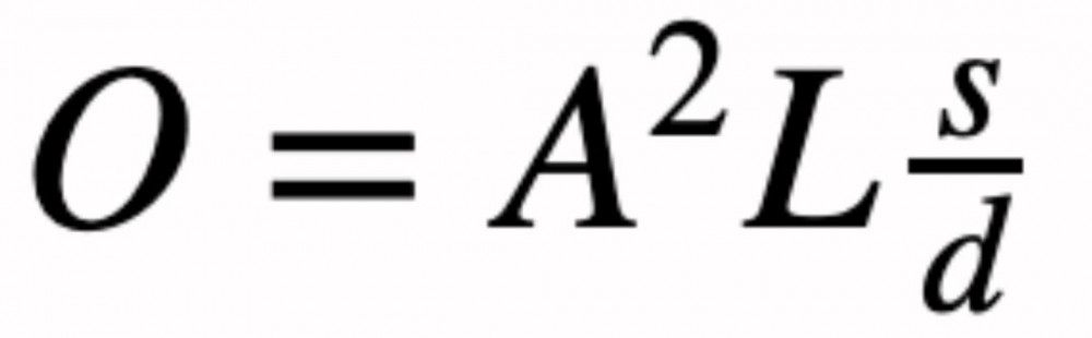
2.索洛模型(经济增长模型)

这是个拿了诺贝尔经济学奖的模型,揭示的是经济增长的本质。

为什么大部分人做不了架构师?这2点是关键

模型解释(摘抄自得到精英日课):

O代表经济产出,A代表技术进步,L代表劳动力,s代表储蓄率,d代表折旧率。

O与L成线性关系:索洛考虑劳动力有两个作用:他们不仅仅是去工厂上班工作,他们还要拿工资,拿了工资会存钱,存的这个钱可以用来投资。经济产出跟劳动力工作是平方根关系,跟劳动力的投资也是平方根关系,所以跟劳动力本身就成了正比关系。

O与A成平方关系:你的技术更先进,你的产出就比别人的产出更值钱 —— A 代表了你的技术附加值。为什么经济产出和 A² 成正比?因为 A 有两个效应。一个是 A 能直接增加产出,一个是因为 A 增加了产出,会导致相对于同样的折旧,投资也会增加。如果你能把技术附加值变成两倍,你的总产出就会变成四倍。

来源:得到付费课程《精英日课》 作者:万维钢

模型的应用:

  • 单纯的投资行为,会被折旧追平,是边际效应递减的过程,不可持续

  • 劳动力对经济增长的影响是线性的,但是技术进步的影响是平方的,面对我国人口问题,追求技术进步是唯一出路,技术进步是真正的增长之本。

3.其他的模型:

《模型思考者》中有许多许多模型,每个模型有详细的解释,以及模型的适用场景,比如:适用于市场营销、病毒传播领域的“传播模型”,研究稳态与“宿命”的“马尔可夫模型”,大家感兴趣可以阅读原著。

五、总结

架构师和模型思考者是非常相似的两套做事方法,对于所研究的系统,当我们可以对系统做修改时,可以用架构师思维,定义问题、解决问题,推动系统一步步完善;当我们无法影响系统运行机制时,要用模型思考者思维,洞见其本质,顺势而为,找到最优解。

参考文章:

荣华老师的多篇文章<识别下方二维码或文末“阅读原文”即可在线阅读>

万维钢精英日课,《模型思考者》系列课程

阿里资深技术专家如何说架构?

如何自底向上推导应用逻辑架构?如何自顶向下构建架构? 识别下方 二维码或点击“阅读原文”看 阿里资深技术专家张荣华怎么说。

为什么大部分人做不了架构师?这2点是关键

你可能还喜欢

点击下方图片即可阅读

为什么大部分人做不了架构师?这2点是关键

支付宝技术双11答卷:没有不可能

为什么大部分人做不了架构师?这2点是关键

给 AI 讲故事,如何教它脑补画面?

为什么大部分人做不了架构师?这2点是关键

关注 「阿里技术」

把握前沿技术脉搏

为什么大部分人做不了架构师?这2点是关键

戳这里,听阿里资深技术专家说架构。

原文  http://mp.weixin.qq.com/s?__biz=MzIzOTU0NTQ0MA==&mid=2247492265&idx=1&sn=e60758c11a9e540ffaf201406d4cc2ff
正文到此结束
Loading...