转载

【JAVA集合知识集锦】HashMap要点总结

HashMap作为java开发中最常用的集合之一,了解其特性对日常开发尤为重要,本文基于jdk1.8源码来分析HashMap有哪些重要的特性。

1 数据结构

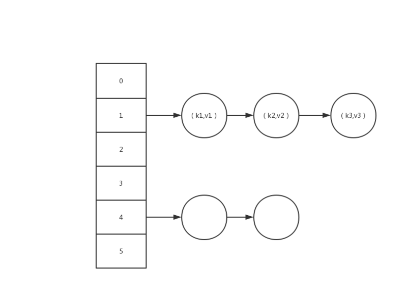
了解HashMap首先当然要从了解数据结构说起,具体见下图:

【JAVA集合知识集锦】HashMap要点总结

数据结构源码如下:

transient Node<K,V>[] table;
    
     static class Node<K,V> implements Map.Entry<K,V> {
        final int hash;
        final K key;
        V value;
        Node<K,V> next;

        Node(int hash, K key, V value, Node<K,V> next) {
            this.hash = hash;
            this.key = key;
            this.value = value;
            this.next = next;
        }
        ......
     }

从上图可以看出HashMap内部是由Node节点的链表数组构成,该数据结构又称为哈希桶。

2 链地址法解决哈希冲突

既然HashMap内部是一个哈希桶,那么进行put操作时就有可能会发生哈希冲突,哈希冲突是将元素放入数组时,若数组中存在一样的元素即表示发生了哈希冲突,而HashMap解决哈希冲突的方法为链地址法,这种解决冲突的方法具体操作是采用链表的方式,详细具体操作如下:

  1. 首先计算传入key的hash值
  2. 根据hash值找出对应数组中的下标
  3. 若数组下标中存在元素,则判断key是否相等,相等则覆盖value值,不相等则进入next节点
  4. 循环步骤3,若找不到相等的key,则用传入的key,value值创建一个新的Node节点,将新的Node节点加入链表尾部

源码如下:

public V put(K key, V value) {
        //hash方法计算hash值
        return putVal(hash(key), key, value, false, true);
    }
    
    final V putVal(int hash, K key, V value, boolean onlyIfAbsent,
                   boolean evict) {
        Node<K,V>[] tab; Node<K,V> p; int n, i;
        //hashmap采用默认构造器未指定大小时,则进行扩容,这也表示默认构造hashmap时其容量为懒加载
        if ((tab = table) == null || (n = tab.length) == 0)
            //resize()为扩容主要方法
            n = (tab = resize()).length;
            //i = (n - 1) & hash 即为计算哈希桶位置的算法
        if ((p = tab[i = (n - 1) & hash]) == null)
            //算出位置后,若该处没有节点(产生哈希冲突)则直接插入
            tab[i] = newNode(hash, key, value, null);
        else {
            Node<K,V> e; K k;
            if (p.hash == hash &&
                ((k = p.key) == key || (key != null && key.equals(k))))
                e = p;
                //下面的else则表示产生哈希冲突的处理方法
            else if (p instanceof TreeNode)
                //若为树结构,则进行树化处理
                e = ((TreeNode<K,V>)p).putTreeVal(this, tab, hash, key, value);
            else {
                //主要逻辑在这里
                for (int binCount = 0; ; ++binCount) {
                    if ((e = p.next) == null) {
                        //找不到相等的key,则构造一个新Node插入链表尾部
                        p.next = newNode(hash, key, value, null);
                        //判断是否达到红黑树构造条件
                        if (binCount >= TREEIFY_THRESHOLD - 1) 
                            treeifyBin(tab, hash);
                        break;
                    }
                    //找到了相等的key则break
                    if (e.hash == hash &&
                        ((k = e.key) == key || (key != null && key.equals(k))))
                        break;
                    p = e;
                }
            }
            //相等的key替换value值逻辑
            if (e != null) { 
                V oldValue = e.value;
                if (!onlyIfAbsent || oldValue == null)
                    //新value值替换老value值
                    e.value = value;
                afterNodeAccess(e);
                return oldValue;
            }
        }
        ++modCount;
        //判断容量是否大于阈值,大于则扩容
        if (++size > threshold)
            resize();
        afterNodeInsertion(evict);
        return null;
    }

注意,这里计算哈希桶位置的代码为:i = (n - 1) & hash,该算法表示在n为2的倍数情况下,通过位运算的方式计算数组下标,等同于数学中的取余,这同时也表示了hashmap的大小永远为2的倍数。

3 hash值计算方法

HashMap中计算hash值方法源码如下:

static final int hash(Object key) {
        int h;
        return (key == null) ? 0 : (h = key.hashCode()) ^ (h >>> 16);
    }

从上面代码可看出,首先调了传入key的hashCode方法计算出hashCode,最后将该hashCode与它的高16位做与运算,这样做的原因在于因为数组大小值一般都是低位,采用(n - 1) & hash算法计算数组位置时,hash值只有低位有用,所以要将hash值的高位与低位相与,这样增加了随机性,发生哈希冲突的概率变得更小了。

4 扩容

HashMap扩容主要是由下列三个属性相互影响决定的:

  • 第一个是HashMap的总容量capacity(默认值16)
  • 第二个是负载因子loadFactor(默认值0.75)
  • 第三个是阈值threshold(默认值12),该值由capacity * loadFactor决定

当进行put操作时,若hashmap内节点数大于阈值则进行扩容,扩容形式为两倍扩容,与jdk1.7扩容明显不同的是,jdk1.8的扩容不再是遍历老的节点,重新计算老的节点在新的容量中的位置,仅仅只是将当前位置加上扩容前的容量当做新的位置,这样就避免了jdk1.7扩容时的环形链表问题。

具体源码如下:

final Node<K,V>[] resize() {
        Node<K,V>[] oldTab = table;
        int oldCap = (oldTab == null) ? 0 : oldTab.length;
        int oldThr = threshold;
        int newCap, newThr = 0;
        if (oldCap > 0) {
            if (oldCap >= MAXIMUM_CAPACITY) {
                threshold = Integer.MAX_VALUE;
                return oldTab;
            }
            //newCap即为扩容后的大小
            else if ((newCap = oldCap << 1) < MAXIMUM_CAPACITY &&
                     oldCap >= DEFAULT_INITIAL_CAPACITY)
                newThr = oldThr << 1; // 阈值也增加两倍
        }
        else if (oldThr > 0) // 用构造器初始化hashmap时,若只指定了阈值则容量值等于设置的阈值
            newCap = oldThr;
        else {               // 如果阈值也没有设置,则容量和阈值都设为默认
            newCap = DEFAULT_INITIAL_CAPACITY;
            newThr = (int)(DEFAULT_LOAD_FACTOR * DEFAULT_INITIAL_CAPACITY);
        }
        if (newThr == 0) {
            float ft = (float)newCap * loadFactor;
            newThr = (newCap < MAXIMUM_CAPACITY && ft < (float)MAXIMUM_CAPACITY ?
                      (int)ft : Integer.MAX_VALUE);
        }
        threshold = newThr;
        //下面则是扩容主要逻辑
        @SuppressWarnings({"rawtypes","unchecked"})
        //生成一个新的哈希桶
        Node<K,V>[] newTab = (Node<K,V>[])new Node[newCap];
        table = newTab;
        if (oldTab != null) {
            for (int j = 0; j < oldCap; ++j) {
                Node<K,V> e;
                if ((e = oldTab[j]) != null) {
                    oldTab[j] = null;
                    //如果老哈希桶下标处只有一个元素则直接计算新哈希桶中位置放置
                    if (e.next == null)
                        newTab[e.hash & (newCap - 1)] = e;
                    else if (e instanceof TreeNode)
                    //若节点是树则进行树化处理
                        ((TreeNode<K,V>)e).split(this, newTab, j, oldCap);
                    else { // 下面就是一般的扩容逻辑了
                        Node<K,V> loHead = null, loTail = null;
                        Node<K,V> hiHead = null, hiTail = null;
                        Node<K,V> next;
                        do {
                            next = e.next;
                            if ((e.hash & oldCap) == 0) {
                                if (loTail == null)
                                    loHead = e;
                                else
                                    loTail.next = e;
                                loTail = e;
                            }
                            else {
                                if (hiTail == null)
                                    hiHead = e;
                                else
                                    hiTail.next = e;
                                hiTail = e;
                            }
                        } while ((e = next) != null);
                        if (loTail != null) {
                            loTail.next = null;
                            newTab[j] = loHead;
                        }
                        if (hiTail != null) {
                            hiTail.next = null;
                            //老哈希桶的位置+老哈希桶容量=在新哈希桶的位置
                            newTab[j + oldCap] = hiHead;
                        }
                    }
                }
            }
        }
        return newTab;
    }

5 节点数大于等于7时构造红黑树

当hashmap进行put操作时,若发生哈希冲突且对应链表中无相等的节点,则将新的节点加入链表尾部,此时若该链接长度过长,hashmap会将该链表进行树化处理,具体处理为假如该链表长度大于等于7时,会转变成红黑树,红黑树是一个典型的二叉查找树,在搜索节点时具有比链表更优的性能,时间复杂度一般为O(logn),hashmap转变为树的过程是jdk1.7中没有的。

具体源码如下:

if ((e = p.next) == null) {
       //找不到相等的key,则构造一个新Node插入链表尾部
       p.next = newNode(hash, key, value, null);
       //判断是否达到红黑树构造条件,TREEIFY_THRESHOLD是一个final值为8
       if (binCount >= TREEIFY_THRESHOLD - 1) 
           //对该链表进行树化处理
           treeifyBin(tab, hash);
           break;
      }

6 容量值永远为2的倍数

从上面的分析可知,计算哈希桶位置算法(n - 1) & hash需保证n一定为2的倍数,hashmap是如何保证容量为2的倍数的呢?我们知道hashmap初始化时可以指定容量,我们可以先从该构造方法看起:

public HashMap(int initialCapacity, float loadFactor) {
        if (initialCapacity < 0)
            throw new IllegalArgumentException("Illegal initial capacity: " +
                                               initialCapacity);
        if (initialCapacity > MAXIMUM_CAPACITY)
            initialCapacity = MAXIMUM_CAPACITY;
        if (loadFactor <= 0 || Float.isNaN(loadFactor))
            throw new IllegalArgumentException("Illegal load factor: " +
                                               loadFactor);
        this.loadFactor = loadFactor;
        //tableSizeFor方法保证了传入的值一定是2的倍数
        //hashmap容量为懒加载,只有在put操作时才会对自己扩容,假如容量为0,扩容后的容量会设置成阈值,所以这里的阈值也可以看成hashmap的容量
        this.threshold = tableSizeFor(initialCapacity);
    }

从以上源码可以看出,hashmap是通过tableSizeFor方法保证自己的容量为2的倍数,tableSizeFor方法源码如下:

static final int tableSizeFor(int cap) {
        int n = cap - 1;
        n |= n >>> 1;
        n |= n >>> 2;
        n |= n >>> 4;
        n |= n >>> 8;
        n |= n >>> 16;
        return (n < 0) ? 1 : (n >= MAXIMUM_CAPACITY) ? MAXIMUM_CAPACITY : n + 1;
    }

该算法详解如下:

先来看有关n位操作部分,先来假设n的二进制为01xxxxxx,然后

  • 对n右移1位:001xxxxx,再位或:011xxxxx
  • 对n右移2为:00011xxx,再位或:01111xxx
  • 同理,前面有四个1了,再右移4位然后进行位或操作可得8个1
  • 综上可知,该算法让最高位的1后面的位全变为1。
  • 由于int只有32位,所以完全覆盖了int的位数

将最高位的1后面的位全变为1后,再进行n+1操作,得出的值就为2的倍数了

原文  https://segmentfault.com/a/1190000021353218
正文到此结束
Loading...