转载

[数据结构与算法]11 单链表反转进阶之递归操作( Java 版)

在这一篇文章中,关于单链表反转,在 [数据结构与算法]04 Link List (链表)及单链表反转实现 中已经写过了,不是使用递归方法来实现的.因为递归不太容易讲清楚.

但是不能因为害怕讲不清楚就不写了,对不对.
所以这篇文章来使用递归来实现一下,并且尝试将里面的细节一一剖出来,不废话.

首先,咱们要先明确,什么是递归.递归就是自己调用自己对吧.比如:有一个函数为 f(n) = f(n-1) * n ,(注意,我这里是举例子,这个函数没有给出递归的结束条件)给 n 赋值为 5 , 则:

--> f(5)
--> 5 * f(4)
--> 5 * ( 4 * f(3))
--> 5 * ( 4 * (3 * f(2)))
--> 5 * ( 4 * ( 3 * ( 2 * f (1))))
--> 5 * ( 4 * ( 3 * ( 2 * 1)))
--> 5 * ( 4 * ( 3 * 2))
--> 5 * ( 4 * 6 )
--> 5 * 24
--> 120

在看完例子之后,咱们接下来不 BB ,直接 show code:

/**
 * 单链表反转---递归实现
 * @author 郑璐璐
 * @date 2020-3-14 08:47:54
 */
public class ReverseSingleList {
    public static class Node{
        private int data;
        private Node next;

        public Node( int data , Node next){
            this.data = data;
            this.next = next;
        }

        public int getData(){return  data;}
    }
    public static void main(String[] args){
        // 初始化单链表
        Node node5 = new Node(5,null);
        Node node4 = new Node(4,node5);
        Node node3 = new Node(3,node4);
        Node node2 = new Node(2,node3);
        Node node1 = new Node(1,node2);

        // 调用反转方法
        Node recursiveList = recursiveList(node1);
        System.out.println(recursiveList);
    }
    /**
     *递归实现单链表反转
     * @param list 为传入的单链表
     * @author 郑璐璐
     * @date 2020-3-14 08:55:45
     */
    public static Node recursiveList(Node list){
        // 如果链表为空 或者 链表中只有一个节点,直接返回
        // 也是递归结束的条件
        if (list == null || list.next == null) return list;
        Node recursive = recursiveList(list.next);
        // 将 list.next.next 指针指向当前链表 list
        list.next.next = list ;
        // 将 list.next 指针指向 null
        list.next = null;
        // 返回反转之后的链表 recursive
        return recursive;
    }
}

经过上面的代码,应该能够看到核心代码就是,递归实现单链表反转部分的那 5 行代码,别小看了这 5 行代码,想要真正弄清楚还真的挺不容易的.
我把这 5 行代码贴在这里,咱们一行行分析,争取看完这篇博客就能懂~(注释我就去掉了,咱们专心看这几行核心代码)

if (list == null || list.next == null) return list;
Node recursive = recursiveList(list.next);
list.next.next = list ;
list.next = null;
return recursive;

第一行就是一个判断,条件不满足,那就往下走,第二行是自己调用自己,程序又回到第一行,不满足条件程序向下执行,自己调用自己
就这样循环到符合条件为止,那么什么时候符合条件呢?也就是 list == null 或者 list.next == null 时,看一下自己定义的链表是 1->2->3->4->5->null ,所以符合条件时,此时的链表为 5->null ,符合条件之后,程序继续向下执行,在执行完 Node recursive = recursiveList(list.next); 这行代码之后,咱们来看一下此时的程序执行结果:
[数据结构与算法]11 单链表反转进阶之递归操作( Java 版)

我把上面这个给画出来(画工不好,不要在乎它的美丑~)
[数据结构与算法]11 单链表反转进阶之递归操作( Java 版)

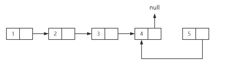
接下来程序该执行 list.next.next = list 执行结束之后,链表大概就是这个样子:
[数据结构与算法]11 单链表反转进阶之递归操作( Java 版)

那是图,下面是程序断点调试程序的结果,发现和上面的图是一样的:
[数据结构与算法]11 单链表反转进阶之递归操作( Java 版)

程序继续向下走 list.next = null ,也就是说,将 list 的 next 指针指向 null :
[数据结构与算法]11 单链表反转进阶之递归操作( Java 版)

从图中看到, list 为 4->null , recursive 为 5->4->null ,咱们来看看程序的结果,是不是和图相符:
[数据结构与算法]11 单链表反转进阶之递归操作( Java 版)

完全一样有没有!
OK ,还记得咱们刚开始的递归函数例子嘛?现在执行完毕,开始执行下一次,咱们继续来看,此时的链表是这个样子的:
[数据结构与算法]11 单链表反转进阶之递归操作( Java 版)

接下来程序执行的代码就是四行了:

Node recursive = recursiveList(list.next);
list.next.next = list ;
list.next = null;
return recursive;

继续执行程序,咱们来看结果,将 list.next.next = list 运行结束时,此时链表为:
[数据结构与算法]11 单链表反转进阶之递归操作( Java 版)

从图中能够看到,链表 list 为 3->4->3->4 循环中, recursive 为 5->4->3->4->3 循环,咱们看一下程序是不是也是如此(在这里我截了两个循环作为示例):
[数据结构与算法]11 单链表反转进阶之递归操作( Java 版)

接下来程序执行 list.next = null ,执行完毕之后,就是将 list 的 next 指针指向 null :
[数据结构与算法]11 单链表反转进阶之递归操作( Java 版)

从图中能够看出来, list 为 3->null , recursive 为 5->4->3->null ,上图看看实际结果和分析的是否一致:
[数据结构与算法]11 单链表反转进阶之递归操作( Java 版)

说明什么?!
说明咱们上面的分析是正确的~
接下来的程序分析,读者就自行研究吧`
相信接下来的分析就难不倒你了~

反转单链表的前 N 个节点

OK ,咱们趁热打铁一下,刚刚是通过递归实现了整个单链表反转,那如果我只是想反转前 N 个节点呢?
比如单链表为 1->2->3->4->5->null ,现在我只想反转前三个节点,变为 3->2->1->4->5->null
有没有想法?
咱们进行整个单链表反转时,可以理解为传递了一个参数 n ,这个 n 就是单链表的长度,然后递归程序不断调用自己,然后实现了整个单链表反转.
那么,如果我想要反转前 N 个节点,是不是传递一个参数 n 来解决就好了?
咱们就直接上代码了:

/**
 *反转单链表前 n 个节点
 * @param list 为传入的单链表 , n 为要反转的前 n 个节点
 * @author 郑璐璐
 * @date 2020-3-14 09:13:16
 */
public static Node next;
public static Node reverseListN(Node list,int n){
    if (n == 1) {
        // 要进行反转链表时,先将 list 后的节点数据保存到 next 中
        next = list.next;
        return  list;
    }

    Node reverse = reverseListN(list.next , n-1);
    list.next.next = list;
    // 将 list.next 的指针指向没有进行反转的链表
    list.next = next ;
    return reverse;
}

反转单链表的一部分

既然反转整个单链表实现了,反转前 N 个节点实现了,那么如果有个需求是反转其中的一部分数据呢?大概就是这样,原来的链表为 1->2->3->4->5->null ,反转其中的一部分,使反转后的链表为 1->4->3->2->5->null
借用反转前 N 个节点的思路,是不是我传两个参数进来,一个是开始反转的节点,一个是结束反转的节点,然后递归操作就可以了?
瞅瞅代码是怎么写的:

/**
 *反转单链表前 n 个节点
 * @param list 为传入的单链表, m 为开始反转的节点, n 为结束的反转节点
 * @author 郑璐璐
 * @date 2020-3-14 09:32:01
 */
public static Node reverseBetween(Node list , int m , int n){
    if (m == 1){
        return reverseListN(list,n);
    }
    list.next = reverseBetween(list.next,m-1,n-1);
    return list;
}

大早上就开始写代码验证 + 写这篇文章,终于给弄清楚了
最后两个例子,读者们可以自行研究,我这里因为篇幅的问题就不进行解析了,如果第一个例子自己能够剖析清楚,下面两个也没啥大问题~

以上,就是这篇文章想要分享的内容啦
感谢您的阅读哇~

原文  https://www.dynamic-zheng.com/posts/9cc5c0a0.html
正文到此结束
Loading...