转载

靠一个HashMap的讲解打动了头条面试官,我的秘诀是...

靠一个HashMap的讲解打动了头条面试官,我的秘诀是...
在这里插入图片描述

预备知识

位运算知识

位运算操作是由处理器支持的底层操作,底层硬件只支持01这样的数字,因此 位运算 运行速度很快。尽管现代计算机处理器拥有了更长的指令流水线和更优的架构设计,使得加法和乘法运算几乎与位运算一样快,但是位运算消耗更少的资源。常用的位运算如下:

  1. 位与 &

(1&1=1 1&0=0 0&0=0)
  1. 位或 |

(1|1=1 1|0=1 0|0=0)
  1. 位非 ~

( ~1=0 ~0=1)

  1. 位异或 ^

(1^1=0 1^0=1 0^0=0)
  1. 有符号右移 >>

在执行右移操作时,若参与运算的数字为正数,则在高位补0;若为负数,则在高位补1。

  1. 无符号右移 >>>

无论参与运算的数字为正数或为负数,在执运算时,都会在高位补0。

  1. 左移

对于左移是没有正数跟负数这一说的,因为负数在CPU中是以 补码 的形式存储的,对于正数左移相当于乘以2的N次幂。

敲重点:上面的重重都是简单的只是为了引出下面的结论:

a % (Math.pow(2,n)) 等价于 a&( Math.pow(2,n)-1)

比如 a%16 最终的结果一定是 0~15 之间的数字,而 a&1111 正好把a除16后的余数有效的现实出来了因为如果是1 1111这样的话最前面一位其实代表的16,也就是说二进制从倒数第五位开始只要出现了1那绝对代表的是16的倍数。 结论 :位运算比除法运算在运行效率上更高,对一个数取余尽量用 a&二进制数 这样可以更好的提速。

ArrayList

我们知道 ArrayList 是一个数组队列,相当于 动态数组 。与Java中的基本数组相比,它的容量能动态增长。它具有以下几个重点。

  1. ArrayList 实际上是通过一个 数组 去保存数据的。当我们构造ArrayList时;若使用默认构造函数,则ArrayList的默认容量大小是 10

  2. 当ArrayList容量不足以容纳全部元素时,ArrayList会重新设置容量:原来容量的1.5倍。

  3. ArrayList的克隆函数,即是将全部元素 克隆 到一个数组中。

  4. 克隆的底层是System.arraycopy(0,oldsrc,0,newsrc,length);

  5. ArrayList实现java.io.Serializable的方式。当写入到输出流时,先写入“容量”,再依次写入“每一个元素”;当读出输入流时,先读取“容量”,再依次读取“每一个元素”。

优点:

  1. 根据下标遍历元素效率较高。

  2. 根据下标访问元素效率较高。

  3. 在数组的基础上封装了对元素操作的方法。

  4. 这样的动态数组在内地地址上是空间连续的。

  5. 可以自动扩容。

缺点:

  1. 插入和删除的效率比较低。

  2. 根据内容查找元素的效率较低。

  3. 扩容规则:每次扩容现有容量的50%。

LinkedList

靠一个HashMap的讲解打动了头条面试官,我的秘诀是... 双向链表 每一个节点包含三部分(data,prev,next),它不要求空间是连续的。类似于节点跟节点之间通过前后两条线串联起来的。

ArrayList和LinkedList总结:

  1. ArrayList是实现了基于动态数组的数据结构,LinkedList是基于链表结构。

  2. 对于随机访问的get和set方法,ArrayList要优于LinkedList,因为LinkedList要移动指针。

  3. 对于新增和删除操作add和remove,LinkedList比较占优势,因为ArrayList要移动数据。

  4. ArrayList使用在 查询 比较多,但是插入和删除比较少的情况,而LinkedList用在查询比较少而插入删除比较多的情况

RedBlackTree

首先你需要对 二叉树 有个了解,知道这是什么样子的一个数据组合方式,然后知道二叉树查找的时候缺点,可能发生数据 倾斜 。因此引入了 平衡二叉树 ,平衡二叉树的左右节点深度之差不会超过1,查找方便构建麻烦,因此又出现了 红黑树 。红黑树是一种平衡的二叉查找树,是一种计算机科学中常用的数据结构,最典型的应用是实现数据的关联,例如map等数据结构的实现,红黑树重要特性是( 左节点 < 根节点 < 右节点) 红黑树有以下限制:

  1. 节点必须是红色或者是黑色

  2. 根节点是黑色的

  3. 所有的叶子节点是黑色的。

  4. 每个红色节点的两个子节点是黑色的,也就是不能存在父子两个节点全是红色

  5. 从任意每个节点到其每个叶子节点的所有简单路径上黑色节点的数量是相同的。

如果您对红黑树还不太了解推荐看下博主以前写的 RBT

HashTable

Hash表是一种特殊的数据结构,它同数组、链表以及二叉排序树等相比较有很明显的区别,它能够快速定位到想要查找的记录,而不是与表中存在的记录的关键字进行比较来进行查找。这个源于Hash表设计的特殊性,它采用了==函数映射==的思想将记录的存储位置与记录的关键字关联起来,从而能够很快速地进行查找。评价函数的性能关键在于==装填因子==,以及如何合理的解决哈希冲突,具体的可看博主以前写的 彻底搞定哈希表

HashMap源码剖析

概述

通常具备前面一些知识点的铺垫就可以很好的开展HashMap的讲解了,既然 ArrayListLinkedListRed Black Tree 各有优缺点,我们能不能集百家之长实现一个综合产物呢 === > HashMap ,本文所以讲解都是基于JDK8。

HashMap 的组成部分:数组 + 链表 + 红黑树。 HashMap 的主干是一个 Node 数组。 NodeHashMap 的基本组成单元,每一个 Node 包含一个 key-value 键值对。 HashMap 的时间复杂读几乎可以接近 O(1) (如果出现了 哈希冲突可能会波动下),并且 HashMap 的空间利用率一般就是在40%左右。 HashMap 的大致图如下: 靠一个HashMap的讲解打动了头条面试官,我的秘诀是... PS :其中几个重要节点关系如下:

  1. java.util.Map.Entry 这就是个 interface 定义了一些比较的接口函数。 靠一个HashMap的讲解打动了头条面试官,我的秘诀是...
  2. java.util.HashMap.Node 就是我们 HashMap 中存储的基本的KV。 靠一个HashMap的讲解打动了头条面试官,我的秘诀是...
  3. java.util.LinkedHashMap.Enrty Enrty 这个类继承自 HashMap.Node 这个类, EnrtyLIinkedHashMap 的一个内部类, 靠一个HashMap的讲解打动了头条面试官,我的秘诀是...
  4. java.util.HashMap.TreeNode TreeNode 的构造函数向上追溯继承了 LinkedHashMap.Entry ,而后者又继承了 HashMap.Node 。所以 TreeNode 既保有 Node 的属性,同时由于添加了 prev 这个前驱指针使得==链表==变为了==双向==。前三个节点跟第五个红黑树相关,第四个跟 next 跟双向链表相关。 靠一个HashMap的讲解打动了头条面试官,我的秘诀是... 靠一个HashMap的讲解打动了头条面试官,我的秘诀是... 数据存储的大致步骤有三步。
  5. 每个数据通过 HashTable 里的映射函数来决定将该数据放到数组的那个地方,数组初始化时候一定是2的次幂,默认16,初始化传入的任何数字都会经过 tableSizeFor 调整为2次幂。
  6. 如果同一个数组的地方被分配到太多数据就用 链表法 来解决哈希冲突。

  7. TREEIFY_THRESHOLD=8
    MIN_TREEIFY_CAPACITY=64
    RedBlackTree
    RedBlackTree
    UNTREEIFY_THRESHOLD=6
    

特别提醒:读HashMap源码之前需要知道它大致特性如下:

  1. HashMap的存取是没有顺序的

  2. KV均允许为NULL

  3. 多线程情况下该类安全,可以考虑用HashTable。

  4. JDk8底层是数组 + 链表 + 红黑树,JDK7底层是数组 + 链表。

  5. 初始容量和装载因子是决定整个类性能的关键点,轻易不要动。

  6. HashMap是 懒汉式 创建的,只有在你put数据时候才会build

  7. 单向链表转换为红黑树的时候会先变化为 双向链表 最终转换为 红黑树 ,双向链表跟红黑树是 共存 的,切记。
  8. 对于传入的两个 key ,会强制性的判别出个高低,判别高低主要是为了决定向左还是向右。
  9. 链表转红黑树后会努力将红黑树的 root 节点和链表的头节点 跟 table[i] 节点融合成一个。
  10. 在删除的时候是先判断删除节点红黑树个数是否需要转链表,不转链表就跟 RBT 类似,找个合适的节点来填充已删除的节点。
  11. root
    不一定
    table[i]
    MoveRootToFront
    HashIterator.remove()
    removeNode
    movable=false
    
靠一个HashMap的讲解打动了头条面试官,我的秘诀是...
在这里插入图片描述

重要参数

静态参数

  1. static final int DEFAULT_INITIAL_CAPACITY = 1 << 4

初始容量,默认容量=16,箱子的个数不能太多或太少。如果太少,很容易触发扩容,如果太多,遍历哈希表会比较慢。

  1. static final int MAXIMUM_CAPACITY = 1 << 30

数组的最大容量,一般情况下只要内存够用,哈希表不会出现问题

  1. static final float DEFAULT_LOAD_FACTOR = 0.75f

默认的 负载因子 。因此初始情况下,当存储的所有节点数 > (16 * 0.75 = 12 )时,就会触发扩容。 默认负载因子(0.75)在 时间和空间成本 上提供了很好的折衷。较高的值会降低空间开销,但提高查找成本(体现在大多数的HashMap类的操作,包括get和put)。设置初始大小时,应该考虑预计的entry数在map及其负载系数,并且尽量减少rehash操作的次数。如果初始容量大于最大条目数除以负载因子,rehash操作将不会发生。

从上面的表中可以看到当桶中元素到达8个的时候,概率已经变得非常小,也就是说用0.75作为加载因子,每个碰撞位置的链表长度超过8个是几乎不可能的。 4. static final int TREEIFY_THRESHOLD = 8

这个值表示当某个箱子(数组的某个item)中,链表长度 >= 8 时, 有可能 会转化成树。设置为8,是系统根据 泊松分布 的数据分布图来设定的。

  1. static final int UNTREEIFY_THRESHOLD = 6

在哈希表扩容时,如果发现链表长度 <= 6,则会由树重新退化为链表。 设置为6猜测是因为时间和空间的 权衡

当链表长度为6时 查询的平均长度为 n/2=3,红黑树 log(6) = 2.6 为8时 :链表 8/2=4, 红黑树 log(8)=3

  1. static final int MIN_TREEIFY_CAPACITY = 64

链表转变成树之前,还会有一次判断,只有数组长度 大于 64 才会发生转换。这是为了避免在哈希表建立初期,多个键值对恰好被放入了同一个链表中而导致不必要的转化。

动态参数

  1. transient Node<K,V>[] table

HashMap的链表数组。无论我们初始化时候是否传参,它在自扩容时总是2的次幂。

  1. transient Set<Map.Entry<K,V>> entrySet

HashMap实例中的Entry的Set集合

  1. transient int size

HashMap表中存储的实例KV个数。

  1. transient int modCount

凡是我们做的 增删改 都会引发 modCount 值的变化,跟版本控制功能类似,可以理解成 version ,在特定的操作下需要对 version 进行检查,适用于 Fai-Fast 机制。

在java的集合类中存在一种 Fail-Fast错误检测机制 ,当多个线程对同一集合的内容进行操作时,可能就会产生此类异常。 比如当A通过iterator去遍历某集合的过程中,其他线程修改了此集合,此时会抛出 ConcurrentModificationException 异常。 此类机制就是通过 modCount 实现的,在迭代器初始化时,会赋值 expectedModCount ,在迭代过程中判断 modCountexpectedModCount 是否一致。

  1. int threshold

扩容阈值 threshold = capacity * loadFactor

  1. final float loadFactor

可自定义的负载因子,不过一般都是用系统自带的0.75。

四种构造方法

  1. 默认构造方法 靠一个HashMap的讲解打动了头条面试官,我的秘诀是...

  2. 传入初始容量大小 靠一个HashMap的讲解打动了头条面试官,我的秘诀是...

  3. 传入初始容量大小及负载因子 靠一个HashMap的讲解打动了头条面试官,我的秘诀是... ==tableSizeFor==:作用是返回大于输入参数且最小的2的整数次幂的数。比如10,则返回16。 靠一个HashMap的讲解打动了头条面试官,我的秘诀是... 详解如下:

先来分析有关n位操作部分:先来假设n的二进制为01xxx...xxx。接着 对n右移1位:001xx...xxx,再位或:011xx...xxx 对n右移2为:00011...xxx,再位或:01111...xxx 此时前面已经有四个1了,再右移4位且位或可得8个1 同理,有8个1,右移8位肯定会让后八位也为1。

综上可得,该算法让最高位的1后面的位全变为1。最后再让结果n+1,即得到了2的整数次幂的值了。 现在回来看看第一条语句:

int n = cap - 1;

让cap-1再赋值给n的目的是另找到的目标值大于或等于原值。例如二进制1000,十进制数值为8。如果不对它减1而直接操作,将得到答案10000,即16。显然不是结果。减1后二进制为111,再进行操作则会得到原来的数值1000,这种二进制方法的效率非常高。

  1. map
    threshold
    resize
    put
    
靠一个HashMap的讲解打动了头条面试官,我的秘诀是...
在这里插入图片描述

Hash值

无论我们 put 数据还是 get 数据都要先获得该数据在这个哈希表中对应的位置。比如 put 数据,它的流程分为2步。

1.先获得key对应的hash值。 2. 将该数据的hash值A,跟将A右无符号移动16位后再 ^ 得到最终值。这个操作叫 扰动 ,原因是怕低几位出现想同的概率太大,尽可能的将数据实现 均匀分布

靠一个HashMap的讲解打动了头条面试官,我的秘诀是...
在这里插入图片描述

同时JDK8跟JDK7的扰动 目的一样 ,不过复杂程度 不一样靠一个HashMap的讲解打动了头条面试官,我的秘诀是...

1. get

相对来说很简单,为方便理解先说下代码大致流程思路。

  1. 获得key的hash然后根据hash和key按照插入时候的思路去查找 get
  2. 如果数组位置为NULL则直接返回 NULL。

  3. 如果数组位置不为NULL则先直接看数组位置是否符合。

  4. 如果数组位置有类型说红黑树类型,则按照红黑树类型查找返回。

  5. 如果数组有next,则按照遍历链表的方式查找返回。

靠一个HashMap的讲解打动了头条面试官,我的秘诀是...
在这里插入图片描述

1.1 getNode

宏观查找函数细节: 靠一个HashMap的讲解打动了头条面试官,我的秘诀是...

1.3 getTreeNode

红黑树查找节点细节:

  1. 先获得根节点,左节点,右节点。

  2. 根据 左节点 < 根节点 < 右节点 对对数据进行逐步范围的缩小查找。

  3. 如果实现了Comparable方法则直接对比。

  4. 否则如果根节点不符合则递归性的调用find查找函数。

靠一个HashMap的讲解打动了头条面试官,我的秘诀是...
在这里插入图片描述

1.4 ComparableClassFor:

查询该key是否实现了 Comparable 接口。 靠一个HashMap的讲解打动了头条面试官,我的秘诀是...

1.5 compareComparables:

既然实现了Comparable接口就用该实现进行对比判断如何何去何从。 靠一个HashMap的讲解打动了头条面试官,我的秘诀是...

2. put流程

跟随源码梳理下put操作的大致流程。 靠一个HashMap的讲解打动了头条面试官,我的秘诀是... 数据插入的时候大致流程如下:

  1. 对数据进行 Hash 值计算。
  2. table
    table
    resize
    
  3. 通过位运算获得 key 的目标位置。并判断当前位置情况。
  4. 如果当前位置为空则直接进行放置,如果跟当前key一直则进行覆盖。

  5. 如果当前有数据则看当前数据类型是否是红黑树,是的话需要调用 putTreeVal
  6. 否则就认为是个链表,然后循环的查找进行尾部==插入==。同时还要考虑当前链表转红黑树。

在JDK8中寻找待插入点 e 是通过==尾插法==(类似与排队在最后面),而在JDK7中是==前插法==(类似与加塞在最前面,之所以这样做是HashMap发明者认为后插入节被访问概率更大),对应代码如下。

靠一个HashMap的讲解打动了头条面试官,我的秘诀是...
在这里插入图片描述
  1. 对找到的旧节点 e 进行判断
  1. oldValue对应的旧值如果为NULL,那么无论onlyIfAbsent是否决定替换。都将被替换。

  2. oldValue对应的旧值如果不为NULL,那么如果onlyIfAbsent是false就替换。

  3. onlyIfAbsent:只有在缺席的情况下才替换,不缺席不替换。跟redis Setnx 同样的功能。
  1. 数据最终添加完毕后要对对修改后的变量 modCount 加1,同时看最新的总的节点数是否需要扩容了,如果是就扩容。

2 put

靠一个HashMap的讲解打动了头条面试官,我的秘诀是...
在这里插入图片描述

2.1 putTreeVal

  1. 先找到根节点,然后判断是从左边找还是右边找key。

  2. 找到了则直接返回找到的节点。

  3. 没找到则新建节点将该新建节点放到适当的位置,同时考虑红黑树跟双向链表的节点插入情况。 靠一个HashMap的讲解打动了头条面试官,我的秘诀是...

2.2 treeifyBin

主要功能是根据参数的阈值范围绝对是否将 链表转化为红黑树 ,然后首先将 单项链表 转化为 双向链表 ,再调用 treeify 以头节点为根节点构建红黑树。 靠一个HashMap的讲解打动了头条面试官,我的秘诀是...

2.3 treeify

双向链表跟红黑树创建,主要步骤分3步。

  1. 从该双向链表中找第一个节点为 root 节点。

  2. 每一个双向链表节点都在root节点为根都二叉树中找位置然后将该数据插入到红黑树中,同时要注意 balance

  3. 最终要注意将根节点跟当前 table[i] 对应好。 靠一个HashMap的讲解打动了头条面试官,我的秘诀是...

2.4 moveRootToFront

确保将 root 节点挪动到 table[first] 上,如果红黑树构建成功而没成功执行这个任务会导致 tablle[first] 对应的节点不是红黑树的 root 节点。正常执行的时候主要步骤分2步。

  1. 找到跟节点然后将 root 节点放到跟节点,至此关于红黑树到操作搞定。
  2. 原来链表头是 first 节点,现在将可能是中间节点的 root 节点挪到 first 节点前面。 靠一个HashMap的讲解打动了头条面试官,我的秘诀是... 其中 checkInvariants 函数的作用:校验 TreeNode 对象是否满足红黑树和双链表的特性。因为并发情况下会发生很多异常。

3 resize

  1. 获得老table数据,如果老table已经足够大则不再扩容,只调节阈值。

  2. 老table扩容后的范围也 符合要求 直接将容器大小跟阈值都扩容 。

  3. 如果是带参数构造函数则需要将阈值复制给容器容量。

  4. 否则认为该容器初始化时未传参,需初始化。

  5. 如果老table有数据,新他变了大小设置好了但是阈值没设置成功。此时要设置新阈值。

  6. 创建新容器。

  7. 老table成功扩容为新table,涉及到数据的转移。

  1. 数据不为空是单独的节点则直接重新hash分配新位置。

  2. 数据不为空后面是一个链表,则要把链表数据进行区分看那些分到老地方那些分到新地方。

  3. 如果该节点类型是个红黑树则调用split.

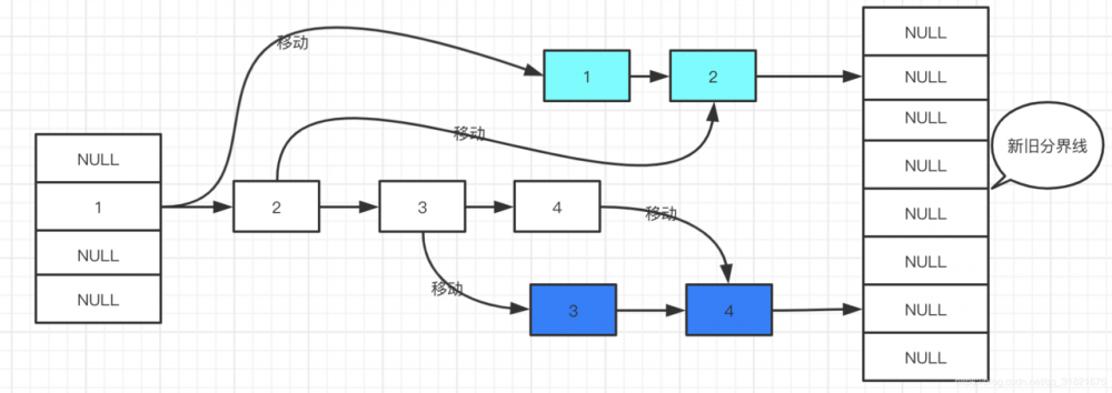
靠一个HashMap的讲解打动了头条面试官,我的秘诀是... 链表形式的重新划分解释如下: 注意:不是 (e.hash & (oldCap-1)) 而是 (e.hash & oldCap) , 后一个得到的是 元素的在数组中的位置是否需要移动,示例如下

示例1: e.hash= 10 0000 1010 oldCap=16 0001 0000 & =0 0000 0000 比较高位的第一位 0 结论 :元素位置在扩容后数组中的位置没有发生改变 示例2: e.hash= 17 0001 0001 oldCap=16 0001 0000 & =1 0001 0000 比较高位的第一位 1 结论 :元素位置在扩容后数组中的位置发生了改变,新的下标位置是原下标位置+原数组长度

靠一个HashMap的讲解打动了头条面试官,我的秘诀是...
在这里插入图片描述

3.1 split

扩容后如何处理原来一个 table[i] 上的红黑树,代码的整体思路跟处理链表的时候差不多,只要理解节点关系保存红黑树的时候也保存了双向链表就OK了。 靠一个HashMap的讲解打动了头条面试官,我的秘诀是...

4. find

函数功能就是以指定的一个节点为根节点,根据指定的 keyvalue 进行查找。

  1. 通过hash值判断 左边找还是右边找。

  2. 如果找到的很简单直接返回。

  3. 可能出现hash值相等可是 key 不一样,继续查找分为三种情况。
  1. 左节点为空则找右节点

  2. 右节点为空则找左节点

  3. 左右节点都不会空,尝试通 Comparable 对数据看向左还是向右。
  4. 无法通过comparable比较或者比较之后还是相等。

  1. 直接从右节点递归查找下。

  2. 否则就从左边查找。

靠一个HashMap的讲解打动了头条面试官,我的秘诀是...
在这里插入图片描述

4.1 tieBreakOrder

对两个对象进行比较,一定能比出个高低。

  1. a 跟 b 都是字符串则直接在if判断里比拼完毕

  2. a 跟 b 都是对象则直接查看对象在JVM中的hash地址,然后比较。

靠一个HashMap的讲解打动了头条面试官,我的秘诀是...
在这里插入图片描述

4. remove

函数入口而已: 靠一个HashMap的讲解打动了头条面试官,我的秘诀是...

4.1 removeNode

removeNode 无非就是查看table[i]是否存在,然后是否在首节点上,是否在红黑树上,是否在链表上。这几种情况,找到了则直接删除,同时注意平衡性。 靠一个HashMap的讲解打动了头条面试官,我的秘诀是...

4.2 removeTreeNode

该函数的 目的就是移除调用此方法的 节点 ,也就是该方法中的this节点。移除包括 链表 的处理和 红黑树 的处理。可以看以前写过的 RBT ,删除的时候思路大致是一样的,这里大致分为3步骤。

  1. 红黑树也是双向链表,以链表的角度来删除节点,然后判断是否需要退化为链表。

  2. 根据当前的 p 节点尝试从 pr 找最 的或者从 pl 找最 的目标节点 s ,将两点兑换。
  3. 找到要 replacement 来跟 p 进行替换。
  4. 实施替换。

  5. 替换后为保持红黑树特性可能需要进行 balance
靠一个HashMap的讲解打动了头条面试官,我的秘诀是...
在这里插入图片描述

4.3 untreeify

红黑树退化成链表 靠一个HashMap的讲解打动了头条面试官,我的秘诀是...

4.4 balanceDeletion

关于这个问题可以直接看博主以前写的红黑叔添加跟删除 RBT

JDK7死环问题

JDK7对旧 table 数据重定位到新 table 的函数 transfer 如下,其中重点关注部分以标出。 靠一个HashMap的讲解打动了头条面试官,我的秘诀是...

  1. 头插法正常情况下: 靠一个HashMap的讲解打动了头条面试官,我的秘诀是...

  2. 并发情况下 线程1只执行了 Entry<K,V> next = e.next 就被挂起了,而线程2正常执行完毕,结果图如下: 靠一个HashMap的讲解打动了头条面试官,我的秘诀是... 线程1接着下面继续执行: 靠一个HashMap的讲解打动了头条面试官,我的秘诀是... 通过逐步分析跟绘图可以知道 会有环产生。

HashIterator 的 remove 方法

7vs8

  1. 7中找 Hash 用了4次,8中只用了1次。
  2. 7 = 数组 + 链表,8 = 数组 + 链表 + 红黑树

  3. 7中是头插法,多线程容易造成环,8中是尾插法。

  4. 7的扩容是全部数据重新定位,8中是位置不变+ 移动旧size大小来实现更好些。

  5. 7是先判断是否要扩容再插入,8中是先插入再看是否要扩容。

  6. HashMap
    ConcurrentHashmap
    ConcurrentHashmap
    

常见问题

随机搜罗了一些常见 HashMap 问题,如果把上述代码都看懂了应付这些应该没问题。

  1. HashMap原理,内部数据结构。

  2. HashMap中的put,get,remove大致过程。

  3. HashMap中 hash函数实现。

  4. HashMap如何扩容。

  5. HashMap几个重要参数为什么这样设定。

  6. HashMap为什么线程不安全,如何替换。

  7. HashMap在JDK7跟JDK8中的区别。

  8. HashMap中链表跟红黑树切换思路。

靠一个HashMap的讲解打动了头条面试官,我的秘诀是...
在这里插入图片描述

参考

HashMap讲解 HashMap详解 疫苗JAVA HASHMAP的死循环

本文使用 mdnice 排版

原文  https://juejin.im/post/5e9eec4c6fb9a03c387f5430
正文到此结束
Loading...