转载

C语言深度剖析-读书简记

写在前面

最近再次温习C语言深度剖析,对C语言的一些易错的和重要的知识点做了以下整理。

第一章 关键字

一 register

1 关键字请求编译器尽可能将变量存在CPU内部的寄存器内中,避免存入聂功通过寻址访问来提高效率。

2 变量类型必须是CPU寄存器可以接受的类型,即必须是一个单个的值,其长度小于或者等于整型的长度。

3 不能用&来获取register变量的地址(因为是存在了寄存器而不是内存中)。

二 static

1 修饰变量,变量存在内存的静态区。当修饰全局变量时,表示变量只能在被定义的文件中使用,其他文件即时使用extern也不能使用。修饰局部变量时,表示只能在函数里使用。跳出函数后值并不销毁。

2 修饰函数,不表示存储方式是静态的,而是针对函数作用域,表示作用域仅局限于本文件。在C++中,static有第3个作用:类中的静态数据成员,可以实现多个对象间的数据共享。静态数据成员需要相应的静态成员函数访问。

三 sizeof

1 sizeof是关键字而不是函数。在计算变量所占空间大小时括号可以省略,而计算类型大小时不可以省略。

2 sizeof是在编译时求值(在C99中,计算柔性数组所占空间大小是其是运行时求值)。sizeof操作符里面不要有其他运算,否则不会达到预期的目的。

四 signed和unsigned关键字

先看一段程序,考虑其输出结果。

int main() {     signed char a[1000];     int i;     for(i=0;i<1000;i++)     {         a[i]=-1-i;     }     printf("%d",strlen(a));     return 0; } 

输出为255。答对了吗?答对了可以跳过下面的分析。

首先介绍一下计算机信息表示的几个易混淆的概念:原码、反码、补码。原码是符号位加上真值的绝对值,即第一位表示符号,其余表示值;反码规定,正数的反码是本身,负数的反码是在其原码的基础上,符号位不变,其余位各个取反。补码是计算机系统中数值的表示方法,正数的补码与原码一致,即也与反码一致,负数的补码是其反码加1.用补码可以将符号位和其他位统一处理,减法按加法处理。两个用补码表示的数相加时,如果最高位(符号位)有进位,则进位被舍弃。

下面来介绍有符号数和无符号数之间的转换。在C语言中,对有符号数和无符号数之间的强制转换,保持不变的是位模式。由此可以把有符号数和无符号数之间的变换,看成有符号数的补码表示和无符号数之间的转换。

下图是补码到无符号数之间的转换示意图:

C语言深度剖析-读书简记

用公式表示即为:

C语言深度剖析-读书简记

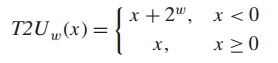
下图是无符号数到补码之间的转换示意图:

C语言深度剖析-读书简记

用公式表示即为:

C语言深度剖析-读书简记

回归到题目,strlen函数是计算字符串长度的,遇到'/0'即认为字符串的结束(长度值不包括最后的'/0')。则题目可转换为计算从a[0]到a[n]之间的长度,其中n为第一个a[n]位模式为0的位置。-1,-2..到多少的位模式会为0?根据补码到无符号数之间的转换公式,可以得到-256的位模式为0。则长度为255。

另外,无符号数的表示范围为$0-2^{w}$,有符号数为$-2^{w-1}-2^{w-1}-1$。$w$为类型的bit数。可以看到,有符号数的正数表示范围比负数少1,是因为-0和+0,人为规定+0视为0,-0视为$-2^{w-1}$。

五 if和else的组合

1 bool变量与“零值”比较,写成if(flag)或if(!flag)最好。

2 float与“零值”进行比较,使用if(val>=-EPSINON&&val<=EPSINON),EPSIONO为定义好的精度。

3 说到浮点数,还要注意不要在很大的浮点数和很小的浮点数之间进行运算,如:

#include <stdio.h> int main() {     double i = 1000000000.00;     double j = 0.00000000001;     printf("%.15f",i+j);     return 0; } 

输出:1000000000.000000000000000,会有截断。为什么?涉及到浮点数在计算机里的表示。

float:1bit(符号位) 8bits(指数位) 23bits(尾数位)

double:1bit(符号位) 11bits(指数位) 52bits(尾数位)

精度由尾数的位数决定。比如,对于float,$/log_{10}{2^{23}}=6.923689900271567$,则其精度最多有7位有效数字,但绝对能保证的为6位,也即float的精度为6~7位有效数字;对于double类似,精度为15~16位。题目中,i+j的有效位数为21位,超过了double的最高有效位数,则会产生截断。

4 指针变量与“零值”比较,使用if(NULL==p)和if(NULL!=p)。

六 switch和case

1 分支比较多的话使用switch和case会提高效率。

2 每个case后不要忘了break。

3 case后面只能是整型或字符型的常量或常量表达式(不可以是字符串)。

七 const

1 在ANSI C标准中(不适用于C++),const精确来说应该是只读变量而不是常量,其值在编译时不能被使用,编译器在编译时不知道其存储的内容。所以case后也不可以跟const修饰的只读变量。

2 修饰指针

const int *p; //常量指针,p可变,p指向的对象不可变 int const *p; //常量指针,p可变,p指向的对象不可变 int *const p; //常指针,p不可变,指向的对象可以变 const int* const p;//指针p和其指向的内容都不可以变 

记忆方法:忽略类型名,看const离谁近就修饰谁。

八 volatile

1 修饰的变量表示可以被某些编译器未知的因素更改,不然操作系统、硬件或者其他线程。 2 volatile int i=10,volatile告诉编译器,i是随时可能发生更改的,每次使用时必须从内存中取出i的值。保证对特殊地址的稳定访问。

九 struct关键字

1 空结构体大小为1字节。

2 柔性数组。C99中,结构中的最后一个元素允许是未知大小的数组,即柔性数组成员,但其前必须有至少一个其他成员。sizeof返回的结构大小不包括柔性数组的内存。

十 union关键字

1 union中的所有数据成员共用一个空间,同一时间只能存储一个数据成员,所有的成员有相同的起始地址。

2 union默认属性为public,大小为最大程度的数据成员的空间。

3 利用union来确定当前系统的存储模式(大小端)。

首先看什么是大小端模式,大端模式表示字数据的高字节存储在低地址,而字数据的低字节存储在高地址;小短模式表示字数据的高字节存储在高地址,而字数据的低字节存储在低地址。 比如,一个存在地址0x100处的int型的变量x的16进制表示为0x01234567,则其大小端的表示为:

C语言深度剖析-读书简记

则利用union可以很快的写出检测大小端模式的程序:

int check_system() {     union check     {         int i;         char ch;     }c;      c.i=1;     return (c.ch==1);//ture为小端模式,false为大端模式。 } 

留一个问题,在x86系统下,以下程序的输出值为多少

#include <stdio.h> int main(void) {     int a[5] = {1,2,3,4,5};     int *ptr1 = (int *)(&a + 1);     int *ptr2 = (int *)((int)a + 1);     printf("%x,%x/n",ptr1[-1],*ptr2);     return 0; } 

正确答案是5,2000000。为什么?详细分析可转到后文中的第四章。

十一 enum关键字

1 一般的定义方法如下:

enum enum_type_name {     ENUM_CONST_1,     ENUM_CONST_2,     ...     ENUM_CONST_n } enum_variable_name;  

enum_type_name为数据类型名,enum_variable_name为enum_type_name类型的一个变量。ENUM_CONST_*如果不赋值,会从被赋值的那个常量开始加1,默认的第一个常量值为0.

2 枚举在编译时确定值,define在预编译确定。

十二 typedef

1 用于给一个已经存在的数据类型取一个别名。看例子:

typedef struct student {     //Code }Stu_st,*Stu_pst; 

以上代码表示给struct student{}取了个别名叫Stu_st,给struct student{}* 取了个别名叫Stu_pst。

第二章 符号

一 注释符号

1 编译器处理注释时不是简单的剔除,而是用空格取代。

2 "/"和"*"之间如果没有空格,都会被当做注释的开始。可以y=x/ *p或者y=x/(*p),但不可以y=x/*p。

3 C语言里反斜杠"/"表示断行,编译器会将反斜杠剔除掉,跟在反斜杠后面的字符自动接续到前一行。但要注意,反斜杠之后不能有空格,反斜杠的下一行也不能有空格。

二 位运算符

1 按位异或可以实现不用第三个临时变量来交换两个变量的值:a^=b;b^=a;a^=b;但不推荐这样做,不易读。

2 如果位操作符"~"和"<<"应用于基本类型无符号字符型或无符号短整型的操作数,结果会立即转换成操作数的基本类型。

uint8_t port = 0x5aU; unit8_t result_8; unit16_t result_16;  result_8 = (~port) >> 4; //不能得到期待的0xa5 result_8 = ((uint8_t)(~port))>>4; //正确的写法 result_16=((uint16_t)(~(uint16_t)port))>>4; //正确的写法 

3 位运算符不能用于基本类型是有符号数的操作数上。

4 一元减运算符不能用在基本类型为无符号的表达式上。将一元减运算符用在unsigned int 或 unsigned long 的表达式上会分别产生类型为 unsigned int 或 unsigned long的结果,是无意义的操作。

unsigned int a = 12; unsigned int b = -a; int c=-a; // U2T  cout<<a<<endl; //12 cout<<b<<endl; //4294967284,及-12+2^32 cout<<c<<endl; //-12 cout<<(b==c)<<endl; //1 

5 左移,右移运算符。左移时,高位丢弃,地位补0;右移时,低位丢弃,符号位随同移动(一般正数补0,负数补什么取决于编译系统的规定)。左移和右移的位数不能大于和等于数据长度,不能小于0(取决于编译器支持与否);

三 ++和--操作符

1 后缀的++,--是在本计算单位计算结束后再自加或自减。

int i=1; int k=(i++)+(i++)+(i++); //3  

2 贪心法则。C语言有这样一个规则:每一个符号应该包含尽可能多的字符。

int a = 3, b = 1; int c=a+++b; cout<<a<<" "<<b<<" "<<c<<endl; // 4 1 4 

四 除法运算符

1 假定q=a/b,r=a%b,先假定b>0,则由整数除法和余数操作应具备的相知有:

  • q*b+r==a。
  • 如果改变a的正负号,希望q的正负号随着改变,但q的绝对值不变。
  • 当b>0,希望保证r>=0且r<b。

但上述三条不能同时成立(如-3/2),C语言或其他语言在实现整数除法截断运算时,必须放弃其中一条,大多编程语言了最后一条。

2 由上述规定,有2/(-2)=-1, 2%(-2)=0, 3/(-2)=-1, 3%(-2)=1, (-3)/2=-1, (-3)%2=-1。

五 运算符的优先级

1 运算符的优先级顺序如下。

C语言深度剖析-读书简记

记忆技巧:

① 伪运算符的优先级最高,单目运算符优先级总是高于双目;

② 对于双目运算符而言,算术运算>位运算>逻辑运算;

③ 自右向左结合的运算符只有单目运算符和赋值运算符。

2 一些容易出错的优先级问题,见下表。

C语言深度剖析-读书简记

第三章 预处理

一 宏定义

1 注释先与预处理指令被处理,所以不可以用define宏定义注释符号。

2 C的宏只能扩展为用大括号括起来的初始化、常量、小括号括起来的表达式、类型限定符、存储类标识符或do-while-zero。

3 在定义函数宏时,每个参数实例都应该以小括号括起来,除非他们做为#(字符串化操作符)或##(粘合剂)的操作数。

4 注意宏定义中的空格。

#define SUM (x) (x)+(x) //错误 #define SUM(x) (x)+(x) //正确写法 

二 一些其他预处理

1 遇到#error后会生成一个编译错误提示消息并停止编译,#error error-message。

2 #pragma comment,将一个诸世纪路放入一个对象文件或可执行文件中。

#pragma comment(lib,"user32.lib") //将user32.lib库放入到本工程 

3 #pragma pack,用于内存对齐。

首先介绍下什么是内存对齐,看一个例子:

struct TestStruct {     char c1;     short s;     char c2;     int i; }; 

求上述结构体所占字节数。由于内存对齐的存在,使得答案不是8(1 11 1 1111)而是12(1x 11 1xxx 1111),1代表使用内存,x代表空内存。

什么时候会产生内存对齐?一个字(2个字节)或者双字(4个字节)跨越了4字节边界,或者1个四字(8个字节)跨越了8字节边界,被认为是未对齐的,从而需要两次总线来访问内存。一个字起始地址是奇数但是没有跨越字边界被认为是对齐的。缺省条件下编译器会将结构、栈中的成员函数进行内存对齐。

接下来来看下#pragma pack的使用方法。使用它可以改变编译器默认的内存对齐方式。

#pragma pack(n) //告诉编译器按n字节对齐 #pragma pack() //取消自定义字节对齐方式 #pragma pack(push) //保存当前对齐方式到packing stack #pragma pack(push,n) //等效于#pragma pack(push);#pragma pack(n); #pragma pack(pop) //packing stack出栈,并将对齐方式设置为出栈的对齐方式 

看一个例子

#pragma pack(8) struct TestStruct1 {     char a;     long b; //假定所用编译器long为4字节 };  struct TestStruct2 {     char c;     TestStruct1 d;     long long e; //假定所用编译器long为8字节 }; #pragma pack() 

求sizeof(TestStruct1)和sizeof(TestStruct2)。直接放上答案:8,24。具体内存布局为:TestStruct1(1xxx(a) 1111(b)),TestStruct2(1xxx(c) 1xxx(d.a) 1111(d.b) xxxx 11111111(e))。为什么?

① 每个成员按照其类型的对齐参数(通常是其大小)和指定对齐参数(上例中n=8)中较小的一个对齐,并且结构的长度必须为所用过的所有对齐参数的整数倍,不够就补空;

② 复杂类型(如结构体)的默认对齐方式是它最长的成员的对齐方式;

③ 对齐后的长度必须是成员中最大的对齐参数的整数倍。

第四章 指针和数组

指针

1 int p=NULL 和 int *p; *p=NULL的区别。前者是表示把p的值设置为0x00000000,后者是把 p的值设置为0x00000000(即p指向的地址设为0x00000000)。

2 将数值存储到指定的内存地址。比如往内存地址0x12ff7c上存储一个整型数0x100。

int *p = (int *)0x12ff7c; *p = 0x100;  //或者这样写 *(int *)0x12ff7c = 0x100; 

数组和指针

1 &a和a的区别。看一个例子:

int a[5]={1,2,3,4,5}; int *ptr=(int *)(&a +1); printf("%d, %d",*(a+1),*(ptr-1)) 

分析:&a+1表示区取数组a的首地址,该地址的值加上sizeof(a)的值,即:&a+5 sizeof(int); *(a+1),虽然a和&a的值是一样的,但a表示数组首元素的首地址,(a+1)的地址为&a[0]+1 sizeof(int),即a[1]的地址。所以上例中输出为2,5。用类似的分析,第一章第九小结中留的问题应该可以解决了吧?

2 不可以定义为数组,声明为指针。例如,文件1中定义char a[100]; 文件2中声明 extern char *a;这样的话, 编译文件2是编译器会认为a是一个指针变量,占四字节。会取a[0]~a[4]四个字节去寻址。

3 不可以定义为指针声明为数组。例如文件1中定义 char *p="abcdefg"; 文件2中声明 extern char p[]; 这样编译文件2是编译器会认为p是一个数组,会把直接读p的地址,并不会通过p间接寻到"abcdefg"的实际地址。

指针数组和数组指针

看下例,指出哪个是数组指针,哪个是指针数组:

int *p1[10]; int (*p2)[10]; 

分析:[]的优先级高于*,p1表示指针数组(存放指针的数组);p2表示数组指针(指向一个包含10个int类型数据的数组)。

多维数组和多级指针

1 看例题,计算打印的结果:

int a[3][2]={(0,1),(2,3),(4,5)}; int *p; p=a[0]; printf("%d",p[0]); 

答案是1,答对了吗?分析:注意初始化的时候错把大括号用成了小括号,赋值相当于了a[3][2]={1,3,5}。初始化注意写法。

2 看一个面试经常遇到的例子:

int a[5][5]; int *(p)[4]; p=a; 

问:&p[4][2]-&a[4][2]的值。问题不难,答案是-4,答错的可以结合下面内存布局图仔细理解下。

C语言深度剖析-读书简记

数组参数和指针参数

1 一级指针参数无法把指针变量本身传递给一个函数,可以用return或者二级指针参数来实现。看例子:

void GetMemory(char* p, int num) {     p=(char *)malloc(num*sizeof(char)); }  char *str=NULL GetMomory(str,10); //str本身并没有改变,还是指向NULL 

通过return实现:

char* GetMemory(char* p, int num) {     p=(char *)malloc(num*sizeof(char));     return p; } 

通过二级指针:

void GetMemory(char** p, int num) {     *p=(char *)malloc(num*sizeof(char)); }  char *str=NULL; GetMemory(&str,10); //OK 

函数指针

1 一个函数指针长的样子: char* (*fun)(char* p1, char* p2)。

2 *(int *)&p是个什么鬼。看例子:

void Function() {     printf("Call Function! /n"); }  int main() {     void (*p)();     *(int*)&p=(int)Function;     *(p)();     return 0; } 

分析:p是一个函数指针变量,*(int*)&p=(int)Function表示将函数Function的入口地址赋值给指针变量p。

3 函数指针数组,长这个样子:char* (*pf[3])(char *p)。使用时可以直接 pf[0]=fun;或者 pf[0]=&fun;

4 函数指针数组指针。读完后是不是想抓狂。其实没那么复杂,就是一个指针,指针指向一个数组,数组里存放的是指向函数的指针而已。 大概面貌:char* ( ( pf)[3])(char* p)。结合下面的例子会更好的理解。

char* fun1(char* p) {     printf("%s/n",p);     return p; }  char* fun2(char* p) {     printf("%s/n",p);     return p; }  char* fun3(char* p) {     printf("%s/n",p);     return p; }  int main() {     char* (*a[3])(char* p); //函数指针数组     char* (*(*pf)[3])(char* p); //函数指针数组指针     pf=&a;     a[0]=fun1;     a[1]=fun2;     a[2]=fun3;      pf[0][0]("fun1"); //也可以用(*pf)[0]("fun1");     pf[0][1]("fun2"); //也可以用(*pf)[1]("fun2");     pf[0][2]("fun3"); //也可以用(*pf)[2]("fun3");      return 0; } 

第五章 内存泄露

没涉及到多少易错点和重点。记得定义指针变量的同时最好初始化为NULL,用完后也置为NULL;访问提防越界;记得给结构体里的指针分配内存;分配的内存记得释放。

第六章 函数

没有什么需要特别注意的。

第七章 文件结构

1 需要对外公开的常量放在头文件中,不需要的放在源文件。

2 不要在头文件中定义对象或函数体。

第八章 关于面试的秘密

态度是一种习惯,习惯决定一切。

小结

C语言最难的部分是设计到指针的部分,还有很多易错的细节问题。本文中的整理的内容都弄明白后,你可以在简历上自信的写上能熟练掌握和运用C语言了。结合原书会更好的理解,文章意在作知识点回顾和速查之用。

参考文献

[1] C语言深度剖析. 第2版. 陈正冲

[2] 深入理解计算机系统.

原文  http://lanbing510.info/2016/04/24/C-Language-Understanding.html
正文到此结束
Loading...