转载

Introduction: Tracking, Fusion and Deep learning for ADAS

Introduction: Tracking, Fusion and Deep learning for ADAS

作者:@强大的宇宙 法德国大陆集团自动驾驶部门软件架构师 海德堡大学博士candidate 汉诺威大学通信研究生 西安电子科技大学电子信息本科 主要从事多目标追踪以及深度学习,对智能驾驶以及计算机视觉算法领域有兴趣并且有自己的想法。

欢迎原链接转发,付费转载请前往 @强大的宇宙 的主页获取信息,盗版必究。

敬请关注和扩散本专栏及同名公众号,会邀请 全球知名学者 陆续发布运筹学、人工智能中优化理论等相关干货、知乎Live及行业动态: 『运筹OR帷幄』大数据人工智能时代的运筹学

因为有计算机视觉和机器学习背景,上次和同事聊天中,同事建议我可以给一个小的Presentation来讲一下相关内容。于是我就花了一天时间准备了一下,给全组人做了一个1个半小时的汇报,大家讨论的也很热烈,功夫没白费。就把内容翻译成中文,一方面记录一下,另一方面也许有兴趣的朋友也可以了解一下。

题目很大,关于追踪,传感器融合和深度学习。就简单的讲一讲,这样受众面也会更广一些。

Introduction: Tracking, Fusion and Deep learning for ADAS

Tracking

卡尔曼滤波器可能很多人都听说过,它真的不是过滤咖啡的装置。它是一个optimal estimate (最优估计)。

Introduction: Tracking, Fusion and Deep learning for ADAS

什么时候需要用它呢?

举个例子,假如你要开车去机场接你的朋友, 你的车上有三种传感器,加速度传感器,速度传感器,以及GPS定位系统。

Introduction: Tracking, Fusion and Deep learning for ADAS

所有的这些传感器都能帮助你的汽车去寻找自己的位置。然而,这些传感器都有这样或那样的优点和缺点,都不完美。加速度传感器和速度仪都能实时更新,但是很容易累计错误。GPS可以提供绝对位置,但容易失去信号,噪声也很大。怎么办呢?

此时此刻,卡尔曼老先生发明了一个优美的算法,用这个算法就可以计算最优的汽车位置,即使传感器并不是很靠谱。

下图首先列出了tracking的精神纲领: 贝叶斯滤波 的数学公式。这个公式可以说是我最崇拜的一种看待世界的角度。 一切皆随机

我们把汽车位置以及所有的观测都看作是随机变量,有均值和方差。然后通过贝叶斯公式,可以很容易推导出以下公式,当然我们有一些假设,比如马尔科夫假设来简化计算难度。

如果我们此时假设所有变量皆满足高斯分布,并且所有的运动模型和观测模型都是线性的,那么我们就得到了卡尔曼滤波器。此时的update的过程,其实也可以看做是预测和测量的融合。

我们很容易找到卡尔曼滤波的公式,但看起来还是很复杂,到底公式的背后是什么,如何推导,相信很多人都打了退堂鼓。其实不难,我们可以拿一个1D的例子来说明。

如果都是高斯假设,那么我们如果按照贝叶斯公式,我们就相当于是将预测分布和测量分布直接相乘,也就是说直接让两个高斯密度函数相乘。我们会惊奇的发现,原来高斯乘以高斯,结果不仅仅是高斯,而且他的新的均值和方差竟然都是两个高斯方差的加权平均,也就是说,其实说白了,就是用各自的方差作为权值,重新更新了一下。然后其实卡尔曼增益不过就是两个权值的一种比例系数,方便后续计算而已。

So easy!

但是我们又要问了,那如果非高斯非线性,我们怎么追踪。呵呵,大师们早都已经解决了这个问题,我最喜欢的莫过于粒子滤波。背后的思想让我拍手称绝。

要了解粒子滤波,必须先了解蒙特卡洛方法。当年去摩纳哥的蒙特卡洛赌场小玩老虎机,确实好玩又刺激。不过小赌怡情,大赌伤身,就玩了5欧,最后输完了。

回归正题,假设你要计算圆周率,你想简单算,不想太复杂。那么你可以用笔在纸上画一个正方形,然后用圆规画一个四分之一内接圆。接下来就是见证奇迹的时刻,你抓一把豆子,均匀的撒在纸上矩形区域,并数落在圆形内部的豆子数目,和落在外面的豆子数目。然后你就可以根据豆子数目的比例,简单的计算出圆周率。是不是很神奇!

同样的思想用在追踪问题上,就更不可思议了。你可以用一些样本点来代替你需要的复杂分布,然后你就不再需要用这个复杂的分布来计算了,只需要这些采样的样本点就可以了。无论线性变换还是非线性变换,都很轻易的就可以计算出样本点的变换,然后通过变换后的样本点来统计新的均值和方差,就完成了复杂分布的非线性变换过程,够简单够暴力?哈哈,是的。

当然代价就是你要计算每一个样本点,计算开销很大。

Introduction: Tracking, Fusion and Deep learning for ADAS

Multi-sensor fusion

传感器融合这个topic太火了,现在硬件平台上集成了一圈各式各样的传感器,怎么博采众长海纳百川,是个问题。

不过都难不倒贝叶斯老先生,在贝叶斯的眼里,这些都是浮云。

举个例子,雷达和红外摄像机的融合。雷达距离探测的非常准确,但是红外摄像机方位角很准确,那么如何结合两者的优点呢。我们采用融合measurement likelihood方法来做,因为假设两个传感器都是条件独立的,意味着传感器并不互相影响。那么我们只需要简单的将两个各自的likelihood的函数相乘,然后我们就会得到新的统一的likelihood function. 神奇的发现,最终的分布函数形状变的更小更尖了,意味着新的likelihood具有更好的方位角和距离信息了。

Introduction: Tracking, Fusion and Deep learning for ADAS

是不是很神奇? 针对之前汽车的例子,我们也可以融合GPS, 加速度传感器以及速度传感器一起,做到博采众长的追踪。

Introduction: Tracking, Fusion and Deep learning for ADAS

Deep learning

神经网络已经有年头了,但都没有像最近这么火,无敌了。我记得我第一次接触是在本科的时候,数模竞赛的时候。其实神经网络应该就是一种函数模拟器,只要你组织好input data和output data, 剩下的就交给神经网络去学习吧。当然你也要设计一个优美的loss function来告诉神将网络做人的底线和原则。

Introduction: Tracking, Fusion and Deep learning for ADAS

神经元是神经网络的基本组成单位,多输入,单输出,加一个非线性激活函数,如此简单。就像乐高玩具一样,你可以随意组合你的神经元们,让他变得更加强大和不可思议。这就是深度神经网络。

Introduction: Tracking, Fusion and Deep learning for ADAS

目前最热门的应用还属CNN, 卷积神经网络。如下图所示,输入是交通限速标志,输出是限速的具体速度值。当然要用反向传播算法来update神经网络里神经元的权重,下面这个图就非常直观明了:

Introduction: Tracking, Fusion and Deep learning for ADAS

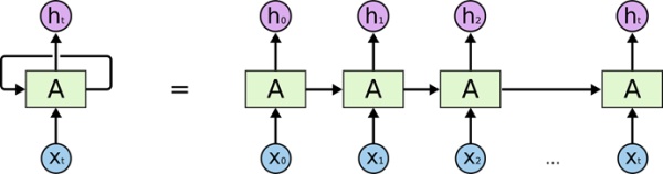
另外一个其实应该更有意思的神经网络结构RNN (Recurrent Neural Network), 递归神经网络。有记忆的神经网络,因为有feedback的过程,所以很适合做序列数据的预测。之前有很长时间在用它来做tracking,效果一般但觉得很有前途。当然用它可以写诗,写音乐,或者写代码,以及翻译等等工作,很像人类的思维方式,这恐怕才是人工智能的未来。

Introduction: Tracking, Fusion and Deep learning for ADAS

最后总结一下,人类实在是太聪明了,发明了这么多神奇的方法来解决问题。还是踏踏实实,谦虚的学习,永远都在远行的路上。路漫漫其修远兮,吾将上下而求索。

如果你是运筹学/人工智能硕博或在读,请在下图的公众号后台留言: “加微信群” 。系统会自动辨认你的关键字,并提示您进一步的加群要求和步骤,邀请您进全球运筹或AI学者群(群内学界、业界大佬云集)。

同时我们有:【 运筹学|优化爱好者 】【 供应链|物流 】【 人工智能 】【 数据科学|分析 】千人QQ群,想入群的小伙伴可以关注下方公众号 点击“加入社区”按钮 ,获得入群传送门。

学术界|工业界招聘、征稿等信息 免费发布 ,请见下图:

Introduction: Tracking, Fusion and Deep learning for ADAS
原文  https://zhuanlan.zhihu.com/p/35330922
正文到此结束
Loading...