转载

带你走进java集合之HashMap

带你走进java集合之HashMap

一、概述

HashMap是一个散列表,它存储的内容是键值对(key-value)映射,它是基于哈希表的 Map 接口的非同步实现。此实现提供所有可选的映射操作,并允许使用 null 值和 null 键。

作为一名java开发者,我们平常使用过HashMap应该是比较多的,有没有想过HashMap到底是怎么实现的呢?我们使用HashMap的时候需要注意什么吗?怎么使用才能使得HashMap的效率最大化呢?接下来,我们带着这些疑问,去读HashMap的源码,来揭开HashMap的神秘面纱,注意,本次阅读的jdk源码版本为1.8。

二、窥探HashMap数据结构

我们先看看HashMap的属性以及构造方法,对HashMap有个初步的了解,了解其是怎么样的数据结构实现。

/**
    /**hashMap默认容量,1<<4=16**/
    static final int DEFAULT_INITIAL_CAPACITY = 1 << 4; // aka 16
    
    //默认最大的容量 
    static final int MAXIMUM_CAPACITY = 1 << 30;
    //默认的负载因子0.75,后续用来扩容的判断条件
    static final float DEFAULT_LOAD_FACTOR = 0.75f;
    //链表转换为红黑树的阈值,默认是8
    static final int TREEIFY_THRESHOLD = 8;
    //红黑树转换链表的阀值,默认是6
    static final int UNTREEIFY_THRESHOLD = 6;
    //进行链表转换最少需要的数组长度,如果没有达到这个数字,只能进行扩容
    static final int MIN_TREEIFY_CAPACITY = 64;
    //节点数组
    transient Node<K,V>[] table;
    //map的Entry缓存
    transient Set<Map.Entry<K,V>> entrySet;
    //map中存放的键值对数目
    transient int size;
    //记录这个map数据结构发生改变的次数,用于快速失败机制
    transient int modCount;
    //实际的负载因子
    final float loadFactor;
    //内部类,节点类
     static class Node<K,V> implements Map.Entry<K,V> {
        final int hash;
        final K key;
        V value;
        Node<K,V> next;

        Node(int hash, K key, V value, Node<K,V> next) {
            this.hash = hash;
            this.key = key;
            this.value = value;
            this.next = next;
        }
        public final int hashCode() {
            return Objects.hashCode(key) ^ Objects.hashCode(value);
        }
        public final boolean equals(Object o) {
            if (o == this)
                return true;
            if (o instanceof Map.Entry) {
                Map.Entry<?,?> e = (Map.Entry<?,?>)o;
                if (Objects.equals(key, e.getKey()) &&
                    Objects.equals(value, e.getValue()))
                    return true;
            }
            return false;
        }
    }

    
    //HashMap指定容量和加载因子的构造方法
       public HashMap(int initialCapacity, float loadFactor) {
        if (initialCapacity < 0)
            throw new IllegalArgumentException("Illegal initial capacity: " +
                                               initialCapacity);
        if (initialCapacity > MAXIMUM_CAPACITY)
            initialCapacity = MAXIMUM_CAPACITY;
        if (loadFactor <= 0 || Float.isNaN(loadFactor))
            throw new IllegalArgumentException("Illegal load factor: " +
                                               loadFactor);
        this.loadFactor = loadFactor;
        this.threshold = tableSizeFor(initialCapacity);
    }
    //指定容量的构造方法
     public HashMap(int initialCapacity) {
        this(initialCapacity, DEFAULT_LOAD_FACTOR);
    }
    //默认的构造方法
     public HashMap() {
        this.loadFactor = DEFAULT_LOAD_FACTOR; // all other fields defaulted
    }
    //直接给定Map的构造方法
    public HashMap(Map<? extends K, ? extends V> m) {
        this.loadFactor = DEFAULT_LOAD_FACTOR;
        putMapEntries(m, false);
    }
复制代码

我们阅读完上面HashMap的构造方法以及属性后,我们知道HashMap最关键的元素有3个,第一个是容量,第二个是加载因子,第三个是Node节点的构造。HashMap默认的容量是16,也可以指定容量进行创建,加载因子默认是0.75,当HashMap容量使用的比例达到总比例的0.75后,就进行扩容。HashMap声明了一个Node节点的数组,同时,Node节点可以指向下一个Node,所以暂时HashMap的内部数据结构大概是这样(后续还会变化,后面会细说):

带你走进java集合之HashMap

知道HashMap大概数据结构后,我们来了解下HashMap常用的方法,看看HashMap是如何添加,查找,删除,扩容等操作的。

三、HashMap常用方法源码

  • put(K key, V value)
public V put(K key, V value) {
        return putVal(hash(key), key, value, false, true);
    }
/**真正的put方法逻辑*/
 final V putVal(int hash, K key, V value, boolean onlyIfAbsent,
                   boolean evict) {
        Node<K,V>[] tab; Node<K,V> p; int n, i;
        //如果table还没初始化就进行扩容。
        if ((tab = table) == null || (n = tab.length) == 0)
            n = (tab = resize()).length;
        /**如果计算出来table数组索引[i]为空,就直接构造新节点赋值*/
        if ((p = tab[i = (n - 1) & hash]) == null)
            tab[i] = newNode(hash, key, value, null);
        else {
            Node<K,V> e; K k;
            /**如果计算出的Hash值索引一样,同时key也一样,如果onlyIfAbsent为true就忽略,否则覆盖原来的value*/
            if (p.hash == hash &&
                ((k = p.key) == key || (key != null && key.equals(k))))
                e = p;
            /**判断是否为树节点,如果是就调用树节点添加方法*/
            else if (p instanceof TreeNode)
                e = ((TreeNode<K,V>)p).putTreeVal(this, tab, hash, key, value);
            else {
            
                for (int binCount = 0; ; ++binCount) {
                    /**如果当前key对应的hash索引是最后一个的话*/
                    if ((e = p.next) == null) {
                        /**构造新的节点添加到尾部*/
                        p.next = newNode(hash, key, value, null);
                        /**如果该节点链表数大于等于8*/
                        if (binCount >= TREEIFY_THRESHOLD - 1) // -1 for 1st
                        /**进行红黑树转换*/
                            treeifyBin(tab, hash);
                        break;
                    }
                    if (e.hash == hash &&
                        ((k = e.key) == key || (key != null && key.equals(k))))
                        break;
                    p = e;
                }
            }
            if (e != null) { // existing mapping for key
                V oldValue = e.value;
                /**判断是否需要覆盖相同key的value**/
                if (!onlyIfAbsent || oldValue == null)
                    e.value = value;
                /***用于支持LinkedHashMap的方法*/    
                afterNodeAccess(e);
                return oldValue;
            }
        }
        /**记录修改次数*/
        ++modCount;
        if (++size > threshold)
        //扩容
            resize();
        /***用于支持LinkedHashMap的方法*/
        afterNodeInsertion(evict);
        return null;
    }
复制代码

HashMap调用put方法,首先会通过Hash(key)&(table.length-1)计算出table数组的索引值,然后如果该位置如果为null,直接new一个node,赋值即可;如果当前位置已经有元素,就判断key是否相等,如果相等并且同时设置了onlyIfAbsent为true,那么就会忽略新元素(默认设置为false)。如果key不相等,那么构造新的node节点,放在最后一个节点的尾部,同时,如果node链表个数大于等于8,会进行链表转红黑树转换。最后如果map的size大于总size的0.75倍,就进行扩容。

  • get(Object key)
public V get(Object key) {
        Node<K,V> e;
        return (e = getNode(hash(key), key)) == null ? null : e.value;
    }
//真正执行HashMap的get()方法
final Node<K,V> getNode(int hash, Object key) {
        Node<K,V>[] tab; Node<K,V> first, e; int n; K k;
        //判断如果key的索引位置不为空
        if ((tab = table) != null && (n = tab.length) > 0 &&
            (first = tab[(n - 1) & hash]) != null) {
            //判断该位置第一个元素的key和hash值是否一样,一样就返回该元素
            if (first.hash == hash && // always check first node
                ((k = first.key) == key || (key != null && key.equals(k))))
                return first;
            //如果第一个元素不是查找的key,那么判断链表是否还有元素
            if ((e = first.next) != null) {
            //如果是树节点,执行树节点查找方法
                if (first instanceof TreeNode)
                    return ((TreeNode<K,V>)first).getTreeNode(hash, key);
                do {
                //不是树节点,循环遍历查找,直到查找到对应的key或者最后一个元素为止
                    if (e.hash == hash &&
                        ((k = e.key) == key || (key != null && key.equals(k))))
                        return e;
                } while ((e = e.next) != null);
            }
        }
        return null;
    }
复制代码

HashMap的get方法相对put方法来说简单些,首先判断索引第一个是不是查找的key,如果不是就循环遍历链表。

以上源码引出来了新的内容,hash计算,红黑树转换,扩容。我们接下来分析下这三部分的内容,看看HashMap究竟是如何计算索引,红黑树转换和扩容的。

  • 计算hash值
static final int hash(Object key) {
        int h;
        return (key == null) ? 0 : (h = key.hashCode()) ^ (h >>> 16);
    }
    
 
复制代码

这里用计算hash值并不是直接求key的hashCode,而是求出HashCode值后再进行了一次操作hashcode无符号右移16位,然后与原值进行异或操作,为什么要这么操作呢?直接解析hashcode方法计算不就可以了吗?这么设计是有原因的,我们知道,HashMap最终计算索引位置是通过 (n - 1) & hash 来计算的,n就是数组的长度,该方法实际上也是对n求余的操作,我们知道位运算要比求余运算要快,所以,这里也算是一个优化。那么为啥求Hash值的时候需要进行右移呢?因为我们的n,也就是table数组的长度,比较小,当进行位运算时,只有低位参与了运算,高位并没有参与运算,就比如默认的n=16,换算成32位2进制为 00000000000000000000000000010000 ,所以,由于n的高位全部是0,相当于做位运算没有意义,所以,为了让高位也参与运算,先自己右移16位,然后和自己进行异或运算,这样做可以增加hash的随机性,减少碰撞几率。我们通过图示来解析下: 我们假设hash值二进制为: 00101010101010101010101011111101 ,n为默认的16,此时计算过程如下:

带你走进java集合之HashMap

最后结果换算成10进制为:7,这就计算出来此时key可以缓存的位置为数组索引等于7的位置下。

  • 红黑树转换
final void treeifyBin(Node<K,V>[] tab, int hash) {
        int n, index; Node<K,V> e;
        //判断table数组长度是否小于64,如果小于就进行扩容
        if (tab == null || (n = tab.length) < MIN_TREEIFY_CAPACITY)
            resize();
        else if ((e = tab[index = (n - 1) & hash]) != null) {
            TreeNode<K,V> hd = null, tl = null;
            do {
                //把普通节点转换成红黑树节点
                TreeNode<K,V> p = replacementTreeNode(e, null);
                //如果尾部节点为空,那么说明没有确定头部节点,设置该节点为头部节点
                if (tl == null)
                    hd = p;
                else {
                //如果已经存在尾部节点,那么把刚刚转换的p节点设置为尾部节点
                    p.prev = tl;
                    tl.next = p;
                }
                tl = p;
            } while ((e = e.next) != null);
            //节点转换完成后,确定了头部节点,开始进行红黑树转换
            if ((tab[index] = hd) != null)
            //把普通treeNode列表转换成为红黑树
                hd.treeify(tab);
        }
    }
复制代码

这里的主要操作只是把普通的node节点转换成treeNode节点,此时,还是最开始的链表形式,最后的红黑树转换依靠 hd.treeify(tab) 方法进行转换。

final void treeify(Node<K,V>[] tab) {
            TreeNode<K,V> root = null;
            for (TreeNode<K,V> x = this, next; x != null; x = next) {
                next = (TreeNode<K,V>)x.next;
                x.left = x.right = null;
                //确定root节点,如果root为空,就设置当前节点为root节点,并设置是黑节点。
                if (root == null) {
                    x.parent = null;
                    x.red = false;
                    root = x;
                }
                //如果root节点已经确定,就开始构造红黑树,下面是左节点和右节点的确定,涉及到排序。
                else {
                    K k = x.key;
                    int h = x.hash;
                    Class<?> kc = null;
                    //遍历root,把节点x插入到红黑树中,执行先插入,后修正
                    for (TreeNode<K,V> p = root;;) {
                        int dir, ph;
                        K pk = p.key;
                        if ((ph = p.hash) > h)
                            dir = -1;
                        else if (ph < h)
                            dir = 1;
                        else if ((kc == null &&
                                  (kc = comparableClassFor(k)) == null) ||
                                 (dir = compareComparables(kc, k, pk)) == 0)
                        //比较k和pk的值,用于判断是遍历左子树还是右子树
                            dir = tieBreakOrder(k, pk);

                        TreeNode<K,V> xp = p;
                        if ((p = (dir <= 0) ? p.left : p.right) == null) {
                            x.parent = xp;
                            if (dir <= 0)
                                xp.left = x;
                            else
                                xp.right = x;
                            root = balanceInsertion(root, x);
                            break;
                        }
                    }
                }
            }
            moveRootToFront(tab, root);
        }
复制代码

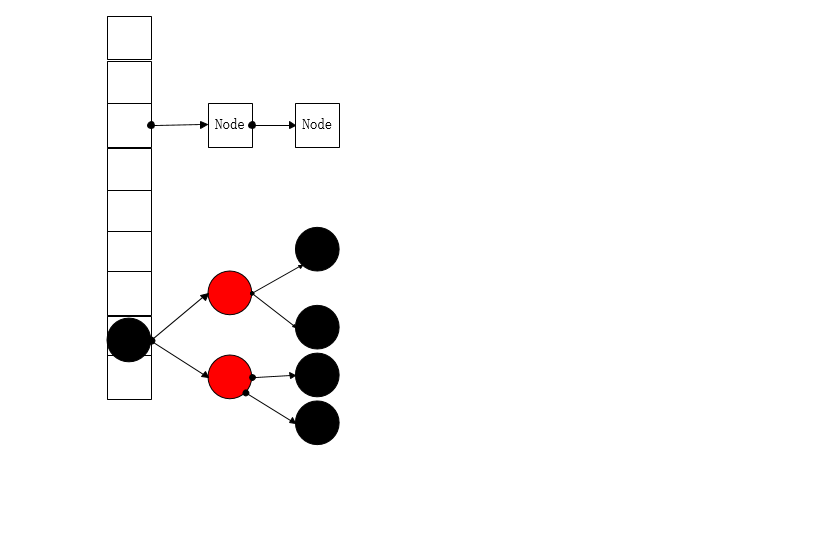
以上就是一个红黑树树化的一个过程,由于篇幅原因,后面的红黑树是如何旋转等操作,这些涉及到基本的数据结构知识,就不在本文的讨论之中。HashMap进行树化后,此时真正的结构如下图:

带你走进java集合之HashMap
  • 扩容
final Node<K,V>[] resize() {
        // 当前table保存
        Node<K,V>[] oldTab = table;
        //保存table的容量
        int oldCap = (oldTab == null) ? 0 : oldTab.length;
        //保存当前阈值
        int oldThr = threshold;
        int newCap, newThr = 0;
        //如果当前table的长度大于0
        if (oldCap > 0) {
        //当前table已经是最大长度了,无法扩容了
            if (oldCap >= MAXIMUM_CAPACITY) {
                threshold = Integer.MAX_VALUE;
                return oldTab;
            }
            //否则扩容为原来的2倍
            else if ((newCap = oldCap << 1) < MAXIMUM_CAPACITY &&
                     oldCap >= DEFAULT_INITIAL_CAPACITY)
                newThr = oldThr << 1; // double threshold
        }
        //如果当前table大容量等于0,并且阈值大于0
        else if (oldThr > 0) // initial capacity was placed in threshold
            //设定新容量就是阈值
            newCap = oldThr;
        else {               // zero initial threshold signifies using defaults
            //容量和阈值都给默认值
            newCap = DEFAULT_INITIAL_CAPACITY;
            newThr = (int)(DEFAULT_LOAD_FACTOR * DEFAULT_INITIAL_CAPACITY);
        }
        //计算新阈值
        if (newThr == 0) {
            float ft = (float)newCap * loadFactor;
            newThr = (newCap < MAXIMUM_CAPACITY && ft < (float)MAXIMUM_CAPACITY ?
                      (int)ft : Integer.MAX_VALUE);
        }
        threshold = newThr;
        @SuppressWarnings({"rawtypes","unchecked"})
        //初始化新table数组。
        Node<K,V>[] newTab = (Node<K,V>[])new Node[newCap];
        table = newTab;
        //旧table数组不为null,说明已经初始化过了。
        if (oldTab != null) {
        //循环遍历旧table数组的元素
            for (int j = 0; j < oldCap; ++j) {
                Node<K,V> e;
                if ((e = oldTab[j]) != null) {
                    //这里应该是为了垃圾回收。
                    oldTab[j] = null;
                    //如果当前遍历的元素,没有后续节点
                    if (e.next == null)
                    //直接把元素赋值给扩容后的数组中
                        newTab[e.hash & (newCap - 1)] = e;
                    //如果是树节点,进行树节点分割操作    
                    else if (e instanceof TreeNode)
                        ((TreeNode<K,V>)e).split(this, newTab, j, oldCap);
                    else { // preserve order
                        Node<K,V> loHead = null, loTail = null;
                        Node<K,V> hiHead = null, hiTail = null;
                        Node<K,V> next;
                        do {
                            next = e.next;
                          // 将table中的元素根据(e.hash & oldCap)是否为0进行分割,分成两个不同的链表,完成重新计算hash操作
                            if ((e.hash & oldCap) == 0) {
                                if (loTail == null)
                                    loHead = e;
                                else
                                    loTail.next = e;
                                loTail = e;
                            }
                            else {
                                if (hiTail == null)
                                    hiHead = e;
                                else
                                    hiTail.next = e;
                                hiTail = e;
                            }
                        } while ((e = next) != null);
                        if (loTail != null) {
                            loTail.next = null;
                            newTab[j] = loHead;
                        }
                        if (hiTail != null) {
                            hiTail.next = null;
                            newTab[j + oldCap] = hiHead;
                        }
                    }
                }
            }
        }
        return newTab;
    }
复制代码

这里比较难理解的就是根据 (e.hash & oldCap) == 0 来创建两个链表,然后分别赋值在扩容后的table原来位置或者“原位置+oldCap”,这里怎么理解呢?因为我们扩容使用的是2次幂扩展(也就是原来的2倍),所以扩容后的元素,重新计算hash值,元素要么就是在原来的位置,要么就是原来的位置再移动2次幂。我们用一张图来说明下这个设计机制:

带你走进java集合之HashMap

图(a)表示扩容前的key1和key2两种key确定索引位置的示例,图(b)表示扩容后key1和key2两种key确定索引位置的示例,其中hash1是key1对应的哈希与高位运算结果。 元素在重新计算hash之后,因为n变为2倍,那么n-1的mask范围在高位多1bit(红色),因此新的index就会发生这样的变化:

带你走进java集合之HashMap
所以,扩容后只需要判断 (e.hash & oldCap) 是否等于0就可以知道元素再新table的位置,不需要重新计算每一个元素的hash值,这里是jdk1.8的扩容优化。上面源码涉及红黑树的分割,原理和链表的重新分配是一样的,同样判断 (e.hash & oldCap)

是否为0,来分割为2个树,唯一的区别就是涉及到红黑树的旋转变色等操作,有兴趣的同学可以自行阅读,本次鉴于篇幅原因就不分析了。

原文  https://juejin.im/post/5bb376dae51d456f087ba969
正文到此结束
Loading...