转载

UEBA架构设计之路6: 图聚类

上篇引言

UEBA通过机器学习对用户、实体进行分析,不管这种威胁是不是已知,也包括了实时和离线的检测方式,能得到一个直观的风险评级和证据分析,让安全人员能够响应异常和威胁。

到底是怎样的整体架构呢?我就不再介绍了,没看过前面篇章的朋友,可以点击下面链接,去看看:

UEBA架构设计之路1:UEBA框架

UEBA架构设计之路2:数据接入和准备

UEBA架构设计之路3:复杂事件处理引擎

UEBA架构设计之路4:异常、威胁指标和威胁

UEBA架构设计之路5: 概率后缀树模型

已经看过的朋友,咱继续。

后面的章节则会介绍各种组件的细节,包括数据接入和准备引擎,处理引擎,实时/离线配置,机器学习模型和不同应用,交互等。

八、图聚类

图聚类是在复合关系图或投影上,识别图中的节点簇。例如检测设备相似性,检测实体活动基线偏差,这种节点簇可以方便的用于横向移动或账户被盗。簇可以表示一组用户,这些用户倾向于访问一组设备,决策引擎可以捕捉到那些有分歧的行为,比如用户访问了其他设备,这样就出现了异常。

图聚类的需求是:高效、高度可扩展、并行,通过机器学习模型实现,并可在实时和离线运作。

自动集群簇识别计算图上节点L1范数值,在一维上为节点分配位置(1D)网格。然后基于1D网格上节点的分配位置来识别图中节点集群。具体来说,通过将1D网格上的节点迭代重新定位到每个节点的L1范数最小的位置来创建节点组,以这种方式找到1D网格上节点的最佳位置之后,位于1D网格上相同位置的每组节点表示群集。

其流程为:

  1. 按任意顺序遍历图,将所有节点映射到1D网格上

  2. 创建一组在一维网格中相同位置的节点,通过最小化L1范数,找到每个节点的最优位置

  3. 根据节点的内部/外部边缘比例检测每个组中的簇

  4. 根据节点的内/外边缘配分,检测每组的簇

  5. 移动外部边缘>内部边缘的每个节点,在1d网格中向左或向右移动一个位置(浮点)

  6. 如果有浮点,遍历所有浮点与集群合并

  7. 如果无浮点,输出

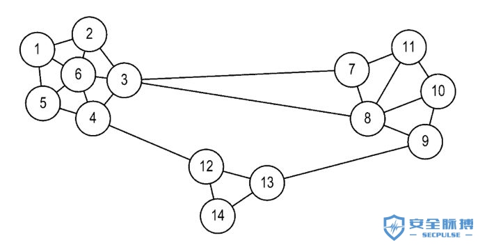
初始过程是输入任何图,例如下面这种。这个过程可在图构建时就执行,假设边缘权重由整数表示,而不是浮点数,在适当的加权后,节点之间的多个关联被折叠成单个边缘的权重。

UEBA架构设计之路6: 图聚类

第一步,逐个节点遍历图,并将节点映射到一维网格上,任何顺序都可以,但广度优先搜索最方便。从遍历图得到的一维网格是:

UEBA架构设计之路6: 图聚类

每个节点内的数字表示被广度遍历的顺序,形成了最后的位置。

第二步,在将节点映射到1D网格之后,迭代最小化每个节点的L1范数以在1D网格上找到其“最佳”位置,创建在1D网格上具有相同位置的节点组(范数是向量空间中的每个向量分配严格正长度或大小的函数,零向量除外),L1范数是在节点的每个候选位置与所候选位置之间沿着1D网格的各个距离(绝对)的总和,候选位置是直接连接到图中所有节点的位置,最佳位置是该节点在1D网格中的位置。因此将所有节点映射到1D网格之后,将首先尝试确定节点1的最佳位置,为此在其每个候选位置中计算节点1的L1范数,节点1直接连接到图形中的节点2,5和6 ,因此节点1的候选位置是网格上的节点2,5和6占据的位置。计算节点1中每个候选位置的L1范数,并选择L1范数最小的位置作为节点1的最佳位置。如果节点1保持在1D的初始位置,其L1范数将被计算为网格上位置1和位置2,5和6之间沿着1D网格的绝对距离的总和,即:位置1处的节点1的L1范数是L1。范数1,1 = | 1-2 | + | 1-5 | + 1-6 | = 10。相反,如果要将节点1移动到1D网格上的节点5的位置,则位置5处的节点1的L1范数将被计算为L1-Norm 1,5 = | 5-2 | + | 5 -5 | + 5-6 | = 4。

在例子中的验证结果是节点1的L1范数在网格上的位置5处是最小的图,节点1移动到节点5的位置。节点的最佳位置可能在后续迭代改变,但节点可以沿着1D网格重新定位。

UEBA架构设计之路6: 图聚类

在第二步处理完所有节点后,节点占据网格上的相同位置,这些节点构成节点组,集群簇。但在得出这个结论之前,进程查找每个节点组与外部有更强连接的任何节点,一旦发现则沿着1D网格重新定位。

第四步,基于节点的内部到外部边缘比率来检测每个组中的实际集群,节点分为内部边缘和外部边缘,内部边缘是同节点组内,外部边缘是连接到节点组外。如果某节点有外部边缘,总和权重超过内部边缘总重,即:内部/外部边缘比率小于1,则在下一阶段将节点沿着1D网格向左或向右移动一个位置(方向无关紧要),从当前节点移除该节点。以这种方式重新定位的节点称为“浮动器”,所以在后续步骤中存在任何浮动点,则遍历所有浮动点与现有集群合并。如果没有浮动点,则输出识别的簇,输出是给给到其他机器学习模型、决策引擎、用户界面等。

UEBA架构设计之路6: 图聚类

三次迭代后,节点位置如上图,可以看出确定了三个集群,节点1-5,节点7-11,节点12-14。

除了高效,高度可扩展和可并行化之外,这个过程也是增量的,如果在图上添加节点,不必把整个图形重新映射,通过最小化L1范数,可以将新添加的节点直接插入到1D网格中。

上述聚类识别技术可用于识别基本上任何类型的图中的聚类。但有个特殊情况,这个情况是二分图,二分图是一个图,节点分为两个不相交的集合,分为正常节点和伪节点,他们形成了两个独立集,这样每条边连接一个正常节点和一个伪节点。在二分图里,正常节点表示用户,伪节点表示用户访问的设备,这种二分图对横向移动检测很有用。

原文  https://www.secpulse.com/archives/105193.html
正文到此结束
Loading...