转载

【Android面试】HashMap详解(一)

HashMap 是面试中比较常见的问题,这一篇,我们将通过阅读源码,了解其设计原理以及以下问题

resize

常用参数

//最大容量 2的30次方
    static final int MAXIMUM_CAPACITY = 1 << 30;
    //初始容量为16 扩容时才会触发
    static final int DEFAULT_INITIAL_CAPACITY = 1 << 4; // aka 16
    //默认的加载因子
    static final float DEFAULT_LOAD_FACTOR = 0.75f;

    //哈希表,存放链表。 长度是2的N次方,或者初始化时为0.
    transient Node<K,V>[] table;
    //加载因子,用于计算哈希表元素数量的阈值。  threshold = 哈希表.length * loadFactor;
    final float loadFactor;
    //哈希表内元素数量的阈值,当哈希表内元素数量超过阈值时,会发生扩容resize()。
    int threshold;
复制代码

其中, table 称之为哈希表,用于存放 链表 Node

Node 链表

static class Node<K,V> implements Map.Entry<K,V> {
        final int hash;
        final K key;
        V value;
        Node<K,V> next;

        Node(int hash, K key, V value, Node<K,V> next) {
            this.hash = hash;
            this.key = key;
            this.value = value;
            this.next = next;
        }

        public final K getKey()        { return key; }
        public final V getValue()      { return value; }
        public final String toString() { return key + "=" + value; }

        public final int hashCode() {
            return Objects.hashCode(key) ^ Objects.hashCode(value);
        }

        public final V setValue(V newValue) {
            V oldValue = value;
            value = newValue;
            return oldValue;
        }

        public final boolean equals(Object o) {
            if (o == this)
                return true;
            if (o instanceof Map.Entry) {
                Map.Entry<?,?> e = (Map.Entry<?,?>)o;
                if (Objects.equals(key, e.getKey()) &&
                    Objects.equals(value, e.getValue()))
                    return true;
            }
            return false;
        }
    }
复制代码

可以看到, Node 的数据结构是 Node 嵌套 Node ,故称之为链表; 整个链表中的某个 Node 称之为节点。

构造方法

public HashMap() {
        this.loadFactor = DEFAULT_LOAD_FACTOR; // all other fields defaulted
    }
复制代码
public HashMap(int initialCapacity) {
        //指定初始化容量的构造函数
        this(initialCapacity, DEFAULT_LOAD_FACTOR);
    }
复制代码
public HashMap(int initialCapacity, float loadFactor) {
        if (initialCapacity < 0)
            throw new IllegalArgumentException("Illegal initial capacity: " +
                                               initialCapacity);
        if (initialCapacity > MAXIMUM_CAPACITY)
            initialCapacity = MAXIMUM_CAPACITY;
        if (loadFactor <= 0 || Float.isNaN(loadFactor))
            throw new IllegalArgumentException("Illegal load factor: " +
                                               loadFactor);
        this.loadFactor = loadFactor;
        //设置阈值   初始化容量的 2的n次方
        this.threshold = tableSizeFor(initialCapacity);
    }
复制代码
public HashMap(Map<? extends K, ? extends V> m) {
        this.loadFactor = DEFAULT_LOAD_FACTOR;
        //将m中元素加入新的哈希表中,同增、改逻辑
        putMapEntries(m, false);
    }
复制代码

扩容

final Node<K,V>[] resize() {
        Node<K,V>[] oldTab = table;
        int oldCap = (oldTab == null) ? 0 : oldTab.length;
        int oldThr = threshold;
        int newCap, newThr = 0;
        if (oldCap > 0) {
            //已经达到上限,不在扩容
            if (oldCap >= MAXIMUM_CAPACITY) {
                threshold = Integer.MAX_VALUE;
                return oldTab;
            }
            else if ((newCap = oldCap << 1) < MAXIMUM_CAPACITY &&
                     oldCap >= DEFAULT_INITIAL_CAPACITY)
                  //如果旧的容量大于等于默认初始容量16
                  //新的容量将变为旧的2倍
                newThr = oldThr << 1; // double threshold
        }
        else if (oldThr > 0) // initial capacity was placed in threshold
            newCap = oldThr;
        else {               // zero initial threshold signifies using defaults
            //旧哈希表为0,则新表为默认值
            newCap = DEFAULT_INITIAL_CAPACITY;
            newThr = (int)(DEFAULT_LOAD_FACTOR * DEFAULT_INITIAL_CAPACITY);
        }
        if (newThr == 0) {
            //新的阈值是0 重新计算
            float ft = (float)newCap * loadFactor;
            newThr = (newCap < MAXIMUM_CAPACITY && ft < (float)MAXIMUM_CAPACITY ?
                      (int)ft : Integer.MAX_VALUE);
        }
        threshold = newThr;
        @SuppressWarnings({"rawtypes","unchecked"})
            Node<K,V>[] newTab = (Node<K,V>[])new Node[newCap];
        table = newTab;
        if (oldTab != null) {
            //遍历旧的哈希表
            for (int j = 0; j < oldCap; ++j) {
                Node<K,V> e;
                if ((e = oldTab[j]) != null) {
                    oldTab[j] = null;
                    if (e.next == null)
                        //就一个元素,将其放入新哈希表的e.hash & (newCap - 1)位置
                        newTab[e.hash & (newCap - 1)] = e;
                    else if (e instanceof TreeNode)
                        ((TreeNode<K,V>)e).split(this, newTab, j, oldCap);
                    else { // preserve order
                       //因为扩容是容量翻倍,所以原哈希表上的每个链表,现在可能存放在原来的下标,即low位,
                      // 或者扩容后的下标,即high位。 high位=  low位+原哈希桶容量
                        Node<K,V> loHead = null, loTail = null;
                        Node<K,V> hiHead = null, hiTail = null;
                        Node<K,V> next;
                        do {
                            next = e.next;
                            if ((e.hash & oldCap) == 0) {
                                if (loTail == null)
                                    loHead = e;
                                else
                                    loTail.next = e;
                                loTail = e;
                            }
                            else {
                                if (hiTail == null)
                                    hiHead = e;
                                else
                                    hiTail.next = e;
                                hiTail = e;
                            }
                        } while ((e = next) != null);
                        if (loTail != null) {
                            loTail.next = null;
                            newTab[j] = loHead;
                        }
                        if (hiTail != null) {
                            hiTail.next = null;
                            newTab[j + oldCap] = hiHead;
                        }
                    }
                }
            }
        }
        return newTab;
    }
复制代码

简单来说, 如果哈希表为空,则分配为初始容量,否则扩容为原来的2倍,原哈希表的元素可能会在新哈希表的相同位置,也可能会在 index+oldCap 位置

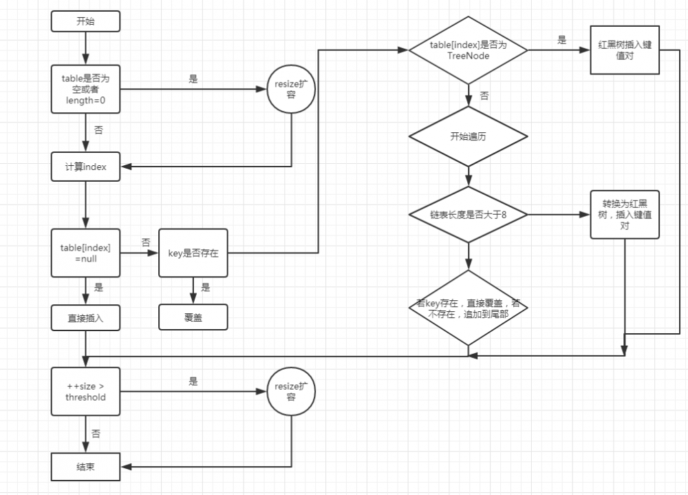
增、改 public V put(K key, V value)

public V put(K key, V value) {
        return putVal(hash(key), key, value, false, true);
    }
复制代码
  • 1.计算哈希值
static final int hash(Object key) {
        int h;
        return (key == null) ? 0 : (h = key.hashCode()) ^ (h >>> 16);
    }
复制代码

哈希值的算法,不是本文的重点,在此先略过

  • 2.插入或覆盖值 如果 table 的第 (n - 1) & hash 个位置为空,则在该位置插入新的链表;如不为空,先判断键值是否相等,如相等则直接覆盖值; 如为红黑树,则插入 ;否则,在链表的尾部追加新的节点。
final V putVal(int hash, K key, V value, boolean onlyIfAbsent,
                   boolean evict) {
        Node<K,V>[] tab; Node<K,V> p; int n, i;
        //如果当前table为null 代表是初始化,直接扩容
        if ((tab = table) == null || (n = tab.length) == 0)
            n = (tab = resize()).length;
        //如果第i((n - 1) & hash)个为null 直接放入新的节点
        if ((p = tab[i = (n - 1) & hash]) == null)
            tab[i] = newNode(hash, key, value, null);
        else {
            Node<K,V> e; K k;
            //如果哈希值相等,key也相等,则返回的是需要覆盖的节点
            if (p.hash == hash &&
                ((k = p.key) == key || (key != null && key.equals(k))))
                e = p;
            else if (p instanceof TreeNode)
                //红黑树
                e = ((TreeNode<K,V>)p).putTreeVal(this, tab, hash, key, value);
            else {
                for (int binCount = 0; ; ++binCount) {
                    if ((e = p.next) == null) {
                        //遍历到尾部,追加新节点到尾部
                        p.next = newNode(hash, key, value, null);
                        //如果追加节点后,链表数量大于等于8,则转化为红黑树
                        if (binCount >= TREEIFY_THRESHOLD - 1) // -1 for 1st
                            treeifyBin(tab, hash);
                        break;
                    }
                    //如果找到了要覆盖的节点
                    if (e.hash == hash &&
                        ((k = e.key) == key || (key != null && key.equals(k))))
                        break;
                    p = e;
                }
            }
            //有需要覆盖的节点
            if (e != null) { // existing mapping for key
                V oldValue = e.value;
                if (!onlyIfAbsent || oldValue == null)
                    e.value = value;
                //空的
                afterNodeAccess(e);
                //返回旧的值
                return oldValue;
            }
        }
        
        ++modCount;
        //更新size,并判断是否需要扩容。此处的size即为map的size
        if (++size > threshold)
            resize();
        //空的
        afterNodeInsertion(evict);
        return null;
    }
复制代码

流程图如下

【Android面试】HashMap详解(一)

public V get(Object key)

public V get(Object key) {
        Node<K,V> e;
        return (e = getNode(hash(key), key)) == null ? null : e.value;
    }
复制代码
  • 1.计算哈希值

  • 2.判断 table 的第 (n - 1) & hash 位置值的情况 如 key 相等,则返回该节点; 如为红黑树,则返回该节点 ;否则,从该节点往后循环查找,直到找到相等的 key 或者空节点。

final Node<K,V> getNode(int hash, Object key) {
        Node<K,V>[] tab; Node<K,V> first, e; int n; K k;
        if ((tab = table) != null && (n = tab.length) > 0 &&
            (first = tab[(n - 1) & hash]) != null) {
            if (first.hash == hash && // always check first node
                ((k = first.key) == key || (key != null && key.equals(k))))
                //key相等 则返回该节点
                return first;
            if ((e = first.next) != null) {
              //红黑树
                if (first instanceof TreeNode)
                    return ((TreeNode<K,V>)first).getTreeNode(hash, key);
              //从该节点往后循环查找,直到找到相等的key或者空节点
                do {
                    if (e.hash == hash &&
                        ((k = e.key) == key || (key != null && key.equals(k))))
                        return e;
                } while ((e = e.next) != null);
            }
        }
        return null;
    }
复制代码

删除 public V remove(Object key)

  • 1.计算哈希值 final Node<K,V> removeNode(int hash, Object key, Object value, boolean matchValue, boolean movable)
  • 2.判断 table 的第 (n - 1) & hash 位置节点的情况

matchValuetrue ,则必须 keyvalue 都相等才删除 movable 参数是 false ,在删除节点时,不移动其他节点

final Node<K,V> removeNode(int hash, Object key, Object value,
                               boolean matchValue, boolean movable) {
        Node<K,V>[] tab; Node<K,V> p; int n, index;
        if ((tab = table) != null && (n = tab.length) > 0 &&
            (p = tab[index = (n - 1) & hash]) != null) {
            Node<K,V> node = null, e; K k; V v;
            if (p.hash == hash &&
                ((k = p.key) == key || (key != null && key.equals(k))))
                //key相等 则返回该节点
                node = p;
            else if ((e = p.next) != null) {
                if (p instanceof TreeNode)
                   //红黑树
                    node = ((TreeNode<K,V>)p).getTreeNode(hash, key);
                else {
                   //从该节点往后循环查找,直到找到相等的key或者空节点
                    do {
                        if (e.hash == hash &&
                            ((k = e.key) == key ||
                             (key != null && key.equals(k)))) {
                            node = e;
                            break;
                        }
                        p = e;
                    } while ((e = e.next) != null);
                }
            }
            //有待删的节点且 matchValue为false,或者值也相等
            if (node != null && (!matchValue || (v = node.value) == value ||
                                 (value != null && value.equals(v)))) {
                if (node instanceof TreeNode)
                    ((TreeNode<K,V>)node).removeTreeNode(this, tab, movable);
                else if (node == p)
                //链表头是待删除链表
                    tab[index] = node.next;
                else
              //待删除节点在表中间
                    p.next = node.next;
                ++modCount;
                //修正size
                --size;
                afterNodeRemoval(node);
                return node;
            }
        }
        return null;
    }
复制代码

key 相等,则返回该节点; 如为红黑树,则返回该链表 ;否则,从该节点往后循环查找,直到找到节点,然后删除它。

总结

HashMap 内部是一个 Node 数组即 Node<K,V>[] table ,称之为哈希表,其中存放的 Node 即链表,链表中的每个节点则是我们放入 HashMap 中的元素。

  • 是否线程安全

线程不安全,存取过程没有任何锁。

  • 为何要扩容

因其数据结构是数组,所以会涉及到扩容。

  • 如何扩容

HashMap 的容量大于 threshold ( length*扩容因子 )值时,就会触发扩容;如果链表为空,则分配为初始容量,否则扩容为原来的2倍,原链表的节点可能会在新链表的相同位置,也可能会在 index+oldCap 位置, 扩容前后,哈希表的长度一定会是2的倍数。

  • 为什么哈希表( table )容量是2的倍数

HashMap 存取时,计算 index(length- 1) & hash ,使用 & 运算符(相比 % 效率更高),如果 length 为2的倍数,可以最大程度的确保 index 的均分,简单来说: 如果是2的倍数,就可以用位运算替代取余操作,更加高效

  • 为什么需要需要 & 位运算(取余 %

hashCode()int 类型,取值范围是40多亿,只要哈希函数映射的比较均匀松散,碰撞几率是很小的。 但是由于 HashMap 的哈希表的长度远比 hash 取值范围小,默认是16,所以当对hash值以表的的长度 length 取余,以找到存放该 key 的下标时,由于取余是通过与操作( & )完成的,会忽略hash值的高位。因此只有 hashCode() 的低位参加运算,发生不同的 hash 值,但是得到的 index 相同的情况的几率会大大增加,这种情况称之为 hash碰撞

  • 怎么解决 hash碰撞

扰动函数( hash(Object key) )就是为了解决hash碰撞的。它会综合hash值高位和低位的特征,并存放在低位,因此在与运算时,相当于高低位一起参与了运算,以减少hash碰撞的概率。

static final int hash(Object key) {
        int h;
        return (key == null) ? 0 : (h = key.hashCode()) ^ (h >>> 16);
    }
复制代码
  • HashMap 优化

1.使用合适的初始容量,减少 resize 带来的损失。

2.使用合适的 key ,比如 StringInteger ,来减少 hash碰撞 ,这样的话,存、取效率最高。

原文  https://juejin.im/post/5cf778e851882546934e618b
正文到此结束
Loading...