转载

面试题:如何设计一个权限系统?

面试题:如何设计一个权限系统?

来源:http://1t.click/ane7

# 前言

目前在公司负责权限这块,所以对权限这块的设计比较熟悉,公司采用微服务架构,权限系统自然就独立出来了,其他业务系统包括商品中心,订单中心,用户中心,仓库系统,小程序,多个APP等十几个系统和终端。

# 权限模型

迄今为止最为普及的权限设计模型是RBAC模型,基于角色的访问控制(Role-Based Access Control)。

1、 RBAC0模型

RBAC0模型如下:

面试题:如何设计一个权限系统?

这是权限最基础也是最核心的模型,它包括用户/角色/权限,其中用户和角色是多对多的关系,角色和权限也是多对多的关系。


用户是发起操作的主体,按类型分可分为2B和2C用户,可以是后台管理系统的用户,可以是OA系统的内部员工,也可以是面向C端的用户,比如阿里云的用户。


角色起到了桥梁的作用,连接了用户和权限的关系,每个角色可以关联多个权限,同时一个用户关联多个角色,那么这个用户就有了多个角色的多个权限。有人会问了为什么用户不直接关联权限呢?

在用户基数小的系统,比如20个人的小系统,管理员可以直接把用户和权限关联,工作量并不大,选择一个用户勾选下需要的权限就完事了。但是在实际企业系统中,用户基数比较大,其中很多人的权限都是一样的,就是个普通访问权限,如果管理员给100人甚至更多授权,工作量巨大。这就引入了"角色(Role)"概念,一个角色可以与多个用户关联,管理员只需要把该角色赋予用户,那么用户就有了该角色下的所有权限,这样设计既提升了效率,也有很大的拓展性。


权限是用户可以访问的资源,包括页面权限、操作权限、数据权限。

页面权限 :即用户登录系统可以看到的页面,由菜单来控制,菜单包括一级菜单和二级菜单,只要用户有一级和二级菜单的权限,那么用户就可以访问页面

操作权限 : 即页面的功能按钮,包括查看、新增、修改、删除、审核等,用户点击删除按钮时,后台会校验用户角色下的所有权限是否包含该删除权限,如果是,就可以进行下一步操作,反之提示无权限。有的系统要求"可见即可操作",意思是如果页面上能够看到操作按钮,那么用户就可以操作,要实现此需求,这里就需要前端来配合,前端开发把用户的权限信息缓存,在页面判断用户是否包含此权限,如果有,就显示该按钮,如果没有,就隐藏该按钮。某种程度上提升了用户体验,但是在实际场景可自行选择是否需要这样做。

数据权限 :数据权限就是用户在同一页面看到的数据是不同的,比如财务部只能看到其部门下的用户数据,采购部只看采购部的数据,在一些大型的公司,全国有很多城市和分公司,比如杭州用户登录系统只能看到杭州的数据,上海用户只能看到上海的数据,解决方案一般是把数据和具体的组织架构关联起来,举个例子,再给用户授权的时候,用户选择某个角色同时绑定组织如财务部或者合肥分公司,那么该用户就有了该角色下财务部或合肥分公司下的的数据权限。

面试题:如何设计一个权限系统?

以上是RBAC的核心设计及模型分析,此模型也叫做RBAC0,而基于核心概念之上,RBAC还提供了扩展模式。包括RBAC1、RBAC2、RBAC3模型。

下面介绍这三种类型

2、RBAC1模型

面试题:如何设计一个权限系统?

此模型引入了角色继承(Hierarchical Role)概念,即角色具有上下级的关系,角色间的继承关系可分为一般继承关系和受限继承关系。一般继承关系仅要求角色继承关系是一个绝对偏序关系,允许角色间的多继承。而受限继承关系则进一步要求角色继承关系是一个树结构,实现角色间的单继承。这种设计可以给角色分组和分层,一定程度简化了权限管理工作。

3、 RBAC2模型

基于核心模型的基础上,进行了角色的约束控制,RBAC2模型中添加了责任分离关系,其规定了权限被赋予角色时,或角色被赋予用户时,以及当用户在某一时刻激活一个角色时所应遵循的强制性规则。责任分离包括静态责任分离和动态责任分离。

主要包括以下约束:

互斥角色 :同一用户只能分配到一组互斥角色集合中至多一个角色,支持责任分离的原则。互斥角色是指各自权限互相制约的两个角色。比如财务部有会计和审核员两个角色,他们是互斥角色,那么用户不能同时拥有这两个角色,体现了职责分离原则。

基数约束 :一个角色被分配的用户数量受限;一个用户可拥有的角色数目受限;同样一个角色对应的访问权限数目也应受限,以控制高级权限在系统中的分配

先决条件角色: 即用户想获得某上级角色,必须先获得其下一级的角色。

4、RBAC3模型

即最全面的权限管理,它是基于RBAC0,将RBAC1和RBAC2进行了整合

5、用户组

当平台用户基数增大,角色类型增多时,而且有一部分人具有相同的属性,比如财务部的所有员工,如果直接给用户分配角色,管理员的工作量就会很大,如果把相同属性的用户归类到某用户组,那么管理员直接给用户组分配角色,用户组里的每个用户即可拥有该角色,以后其他用户加入用户组后,即可自动获取用户组的所有角色,退出用户组,同时也撤销了用户组下的角色,无须管理员手动管理角色。


根据用户组是否有上下级关系,可以分为有上下级的用户组和普通用户组。

具有上下级关系的用户组 :最典型的例子就是部门和职位,可能多数人没有把部门职位和用户组关联起来吧。当然用户组是可以拓展的,部门和职位常用于内部的管理系统,如果是面向C端的系统,比如淘宝网的商家,商家自身也有一套组织架构,比如采购部,销售部,客服部,后勤部等,有些人拥有客服权限,有些人拥有上架权限等等,所以用户组是可以拓展的。

普通用户组 :即没有上下级关系,和组织架构,职位都没有关系,也就是说可以跨部门,跨职位,举个例子,某电商后台管理系统,有拼团活动管理角色,我们可以设置一个拼团用户组,该组可以包括研发部的后台开发人员,运营部的运营人员,采购部的人员等等。

每个公司都会涉及到到组织和职位,下面就重点介绍这两个。

5.1 组织

常见的组织架构如下图:

面试题:如何设计一个权限系统?

我们可以把组织与角色进行关联,用户加入组织后,就会自动获得该组织的全部角色,无须管理员手动授予,大大减少工作量,同时用户在调岗时,只需调整组织,角色即可批量调整。组织的另外一个作用是控制数据权限,把角色关联到组织,那么该角色只能看到该组织下的数据权限。

5.2 职位

假设财务部的职位如下图:

面试题:如何设计一个权限系统?

每个组织部门下都会有多个职位,比如财务部有总监,会计,出纳等职位,虽然都在同一部门,但是每个职位的权限是不同的,职位高的拥有更多的权限。总监拥有所有权限,会计和出纳拥有部分权限。特殊情况下,一个人可能身兼多职。

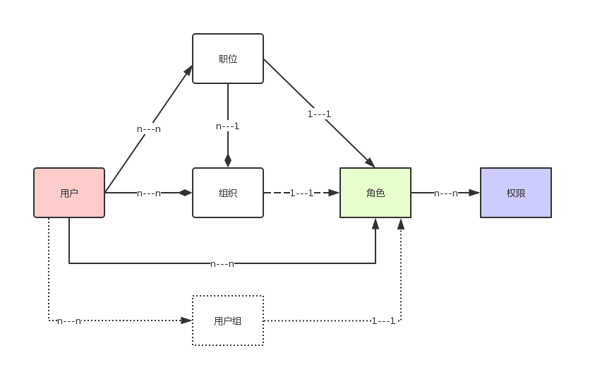
6、含有组织/职位/用户组的模型

根据以上场景,新的权限模型就可以设计出来了,如下图:

面试题:如何设计一个权限系统?

根据系统的复杂度不同,其中的多对多关系和一对一关系可能会有变化。

在单系统且用户类型单一的情况下,用户和组织是一对一关系,组织和职位是一对多关系,用户和职位是一对一关系,组织和角色是一对一关系,职位和角色是一对一关系,用户和用户组是多对对关系,用户组和角色是一对一关系,当然这些关系也可以根据具体业务进行调整。模型设计并不是死的,如果小系统不需要用户组,这块是可以去掉的。

分布式系统且用户类型单一的情况下,到这里权限系统就会变得很复杂,这里就要引入了一个"系统"概念,此时系统架构是个分布式系统,权限系统独立出来,负责所有的系统的权限控制,其他业务系统比如商品中心,订单中心,用户中心,每个系统都有自己的角色和权限,那么权限系统就可以配置其他系统的角色和权限。

分布式系统且用户类型多个的情况下, 比如淘宝网,它的用户类型包括内部用户、商家、普通用户、内部用户登录多个后台管理系统,商家登录商家中心,这些做权限控制,如果你作为架构师,该如何来设计呢?大神可以在评论区留言交流哦!

# 授权流程

授权即给用户授予角色,按流程可分为手动授权和审批授权。权限中心可同时配置这两种,可提高授权的灵活性。

手动授权 :管理员登录权限中心为用户授权,根据在哪个页面授权分为两种方式:给用户添加角色,给角色添加用户。

给用户添加角色就是在用户管理页面,点击某个用户去授予角色,可以一次为用户添加多个角色;给角色添加用户就是在角色管理页面,点击某个角色,选择多个用户,实现了给批量用户授予角色的目的。

审批授权 :即用户申请某个职位角色,那么用户通过OA流程申请该角色,然后由上级审批,该用户即可拥有该角色,不需要系统管理员手动授予。

# 表结构

有了上述的权限模型,设计表结构就不难了,下面是多系统下的表结构,简单设计下,主要提供思路。

面试题:如何设计一个权限系统?

# 权限框架

Apache Shrio

Spring Security

在项目中可以采用其中一种框架,它们的优缺点以及如何使用会在后面的文章中详细介绍。

# 结语

权限系统可以说是整个系统中最基础,同时也可以很复杂的,在实际项目中,会遇到多个系统,多个用户类型,多个使用场景,这就需要具体问题具体分析,但最核心的RBAC模型是不变的,我们可以在其基础上进行扩展来满足需求。


最后,如果您觉得这篇文章对您有帮助,可以点个在看,谢谢支持!

推荐阅读

(点击标题可跳转阅读)

夯实Java基础系列16:一文读懂Java IO流和常见面试题

夯实Java基础系列15:Java注解简介和最佳实践

夯实Java基础系列14:深入理解Java枚举类

夯实Java基础系列11:深入理解Java中的回调机制

夯实Java基础系列10:深入理解Java中的异常体系

夯实Java基础系列9:深入理解Class类和Object类

夯实Java基础系列8:深入理解Java内部类及其实现原理

夯实Java基础系列7:一文读懂Java 代码块和代码执行顺序

一文搞懂抽象类和接口,从基础到面试题,揭秘其本质区别!

一文读懂 Java 文件和包结构,解读开发中常用的 jar 包

一文了解 final 关键字的特性、使用方法以及实现原理

面试题:如何设计一个权限系统?

点个“在看”,转发朋友圈,都是对我最好的支持!

原文  http://mp.weixin.qq.com/s?__biz=MzUyOTk5NDQwOA==&mid=2247486627&idx=3&sn=4f578672b28cad376e7e97c9185b577b
正文到此结束
Loading...