转载

LeetCode 链表题 ( Java )

leetcode 237. 删除链表中的节点

链接: https://leetcode-cn.com/problems/delete-node-in-a-linked-list/

示例 :

输入: head = [4,5,1,9], node = 5
输出: [4,1,9]
解释: 给定你链表中值为 5 的第二个节点,那么在调用了你的函数之后,该链表应变为 4 -> 1 -> 9.

这道题比较简单, 修改之前节点的  next 指针,使其指向之后的节点

/**
 * Definition for singly-linked list.
 * public class ListNode {
 *     int val;
 *     ListNode next;
 *     ListNode(int x) { val = x; }
 * }
 */
class Solution {
    public void deleteNode(ListNode node) {
        node.val = node.next.val;
        node.next = node.next.next;
    }
}

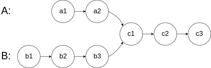
leetcode 160. 相交链表

链接: https://leetcode-cn.com/problems/intersection-of-two-linked-lists/

编写一个程序,找到两个单链表相交的起始节点。

如下面的两个链表:

LeetCode 链表题 ( Java )

在节点 c1 开始相交。要求返回 c1 这个节点。

先得到两条链表的长度差 offset,再将长链表跳过 offset 个节点,然后再让这两个链表轮流逐个遍历节点,直到相遇。

比如上图 A 和 B 差一个长度差为 1,先跳过 b1 这个结点到达 b2,然后 A 开始从 a1 遍历,到达 a2, B 到达 b3; 随后 A 到达 c1,B 到达 c1,两点相遇,返回 c1.

public class Solution {
    public ListNode getIntersectionNode(ListNode headA, ListNode headB) {
        if(headA == null || headB == null)
            return null;

        int lengthA = getListLength(headA);
        int lengthB = getListLength(headB);
        ListNode longList = headA;
        ListNode shortList = headB;
        int offset = Math.abs(lengthA - lengthB);
        if(lengthA < lengthB){
            longList = headB;
            shortList = headA;
        }
        for(int i=0; i < offset; i++){
            longList = longList.next;
        }
        while(shortList != longList){
            shortList = shortList.next;
            longList = longList.next;
        }
        return shortList;
    }
    public int getListLength(ListNode p){
        int length = 0;
        while(p != null){
            length++;
            p = p.next;
        }
        return length;
    }
}

我又看了这道题的题解,看到有其他解法:两条链表先遍历一轮(消除长度差),当链表到达结尾的时候,反而让到达链表末尾的节点指向另一个链表的头部,然后再接着遍历,这样就消除了两条链表的长度差,可以大致理解为: 两个人以同样的速度跑步,跑的路程也一致,那么肯定会同一个时间点到达终点。

public ListNode getIntersectionNode(ListNode headA, ListNode headB) {
    if (headA == null || headB == null) return null;
    ListNode pA = headA, pB = headB;
    while (pA != pB) {
        pA = pA == null ? headB : pA.next;
        pB = pB == null ? headA : pB.next;
    }
    return pA;
}

leetcode 206. 反转链表

示例:

输入: 1->2->3->4->5->NULL
输出: 5->4->3->2->1->NULL

此题的思路是 逐个反转,先变成 NULL<-1  2->3->4->5->NULL; 然后是 1<-2  3->4->5->NULL; 接着是 1<-2<-3  4->5->NULL,以此类推。那么我们首先就要先创建一个空节点为 prev,使得 1 指向它,但是,需要先把 2 这个节点保存起来,不然当 1 指向 NULL 后就失去了 2 以后的数据。完成第一次反转后就一直迭代下去。 可能表达得不太行,看代码吧:

/**
 * Definition for singly-linked list.
 * public class ListNode {
 *     int val;
 *     ListNode next;
 *     ListNode(int x) { val = x; }
 * }
 */
class Solution {
    public ListNode reverseList(ListNode head) {
        ListNode prev = null;
        while(head != null) {
            ListNode next = head.next;
            head.next = prev;           // 翻转
            
            prev = head;
            head = next;
        }
        return prev;
    }
}

如果文字解释看不懂,代码也看不懂,那就视频吧,推荐这个小姐姐讲的   用Java解决翻转链表 Leetcode206 Reverse Linked List  

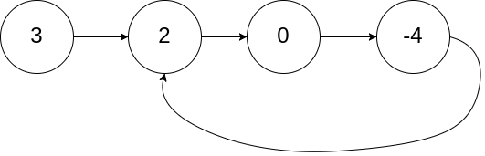
leetcode 141. 环形链表

给定一个链表,判断链表中是否有环。

为了表示给定链表中的环,我们使用整数 pos 来表示链表尾连接到链表中的位置(索引从 0 开始)。 如果 pos 是 -1,则在该链表中没有环。

示例 1:

输入:head = [3,2,0,-4], pos = 1
输出:true
解释:链表中有一个环,其尾部连接到第二个节点。

LeetCode 链表题 ( Java )

示例 3:

输入:head = [1], pos = -1
输出:false
解释:链表中没有环。

LeetCode 链表题 ( Java )

LeetCode 链表题 ( Java )

(1) 哈希

遇到这种类型得题目一般大部分都是用 hash , 通过遍历把每个节点存起来,如果该节点后续还被访问到,则表示该链表为环形链表。

public boolean hasCycle(ListNode head) {
    Set<ListNode> nodes = new HashSet<>();
    while (head != null) {
        if (nodes.contains(head)) {
            return true;
        } else {
            nodes.add(head);
        }
        head = head.next;
    }
    return false;
}

(2)双指针

定义两个指针,从 head 开始,慢指针移动一步,快指针移动两步,如果两个指针相遇则为环形链表,否则不是。这个道理就跟两个不同速度的人在同一条跑道上跑步一样,如果是环形的总会相遇。

public boolean hasCycle(ListNode head) {
        if (head == null || head.next == null)
            return false;
        ListNode slow = head;
        ListNode fast = head.next;
        while(fast != null && fast.next != null) {
            if (slow == fast){
                return true;
            }
            slow = slow.next;
            fast = fast.next.next;
        }
        return false;
    }

leetcode 19. 删除链表的倒数第N个节点

给定一个链表,删除链表的倒数第 n 个节点,并且返回链表的头结点。

示例:

给定一个链表: 1->2->3->4->5, 和 n = 2.

当删除了倒数第二个节点后,链表变为 1->2->3->5.

(1)第一种方法:由于不清楚链表的长度,因此可以先遍历链表得到其长度,然后第二次遍历将倒数第N个节点删除,即被删除节点的前一个节点指向删除节点的后一个节点:

public ListNode removeNthFromEnd(ListNode head, int n) {
    ListNode dummy = new ListNode(0);
    dummy.next = head;
    int length  = 0;
    ListNode list = head;
    while (list != null) {
        length++;
        list = list.next;
    }
    length -= n;
    list = dummy;
    while (length > 0) {
        length--;
        list = list.next;
    }
    list.next = list.next.next;
    return dummy.next;
}

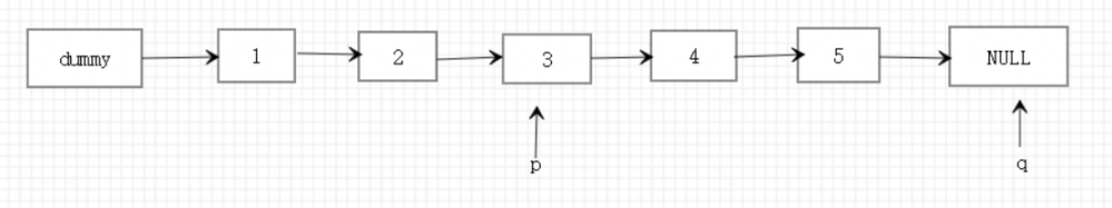
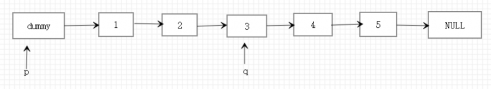
(2)第二种方法:使用双指针,先让其中一个指针走 N+1 步,然后两个指针同时移动,到达被删除节点的前一个节点时把它删除:

LeetCode 链表题 ( Java )

LeetCode 链表题 ( Java )

LeetCode 链表题 ( Java )

LeetCode 链表题 ( Java )

public ListNode removeNthFromEnd(ListNode head, int n) {
        ListNode dummy = new ListNode(0);
        dummy.next = head;
        ListNode p = dummy;
        ListNode q = dummy;
        for (int i = 0; i <= n; i++) {
            q = q.next;
        }
        while (q != null) {
            p = p.next;
            q = q.next;
        }
        p.next = p.next.next;
        return dummy.next;
   }
原文  http://www.cnblogs.com/lyuzt/p/11962759.html
正文到此结束
Loading...