转载

ZooKeeper入门,看这篇就够了!

ZooKeeper入门,看这篇就够了!

前言

在很多时候,我们都可以在各种框架应用中看到ZooKeeper的身影,比如Kafka中间件,Dubbo框架,Hadoop等等。为什么到处都看到ZooKeeper?

一、什么是ZooKeeper

ZooKeeper是一个分布式服务协调框架,提供了分布式数据一致性的解决方案,基于ZooKeeper的 数据结构,Watcher,选举机制 等特点,可以 实现数据的发布/订阅,软负载均衡,命名服务,统一配置管理,分布式锁,集群管理 等等。

二、为什么使用ZooKeeper

ZooKeeper能保证:

  • 更新请求顺序进行。来自同一个client的更新请求按其发送顺序依次执行
  • 数据更新原子性。一次数据更新要么成功,要么失败
  • 全局唯一数据视图 。client无论连接到哪个server,数据视图都是一致的
  • 实时性 。在一定时间范围内,client读到的数据是最新的

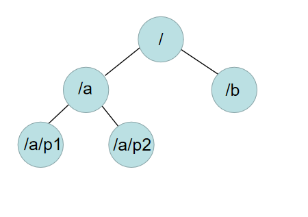
三、数据结构

ZooKeeper的数据结构和Unix文件系统很类似,总体上可以看做是一棵树,每一个节点称之为一个ZNode,每一个ZNode 默认能存储1M的数据 。每一个ZNode可 通过唯一的路径标识 。如下图所示:

ZooKeeper入门,看这篇就够了!

创建ZNode时,可以指定以下四种类型,包括:

  • PERSISTENT,持久性ZNode 。创建后,即使客户端与服务端断开连接也不会删除,只有客户端主动删除才会消失。
  • PERSISTENT_SEQUENTIAL,持久性顺序编号ZNode 。和持久性节点一样不会因为断开连接后而删除,并且ZNode的编号会自动增加。
  • EPHEMERAL,临时性ZNode 。客户端与服务端断开连接,该ZNode会被删除。
  • EPEMERAL_SEQUENTIAL,临时性顺序编号ZNode 。和临时性节点一样,断开连接会被删除,并且ZNode的编号会自动增加。

四、监听通知机制

Watcher是基于 观察者模式 实现的一种机制。如果我们需要实现当某个ZNode节点发生变化时收到通知,就可以使用Watcher监听器。

客户端通过设置监视点(watcher)向 ZooKeeper 注册需要接收通知的 znode,在 znode 发生变化时 ZooKeeper 就会向客户端发送消息。

这种通知机制是一次性的。一旦watcher被触发,ZooKeeper就会从相应的存储中删除。如果需要不断监听ZNode的变化,可以在收到通知后再设置新的watcher注册到ZooKeeper。

监视点的类型有很多,如 监控ZNode数据变化、监控ZNode子节点变化、监控ZNode 创建或删除

五、选举机制

ZooKeeper是一个高可用的应用框架,因为ZooKeeper是支持集群的。ZooKeeper在集群状态下,配置文件是不会指定Master和Slave,而是在ZooKeeper服务器初始化时就在内部进行选举,产生一台做为Leader,多台做为Follower,并且遵守半数可用原则。

由于遵守半数可用原则,所以5台服务器和6台服务器,实际上最大允许宕机数量都是3台,所以为了节约成本, 集群的服务器数量一般设置为奇数

如果在运行时, 如果长时间无法和Leader保持连接的话,则会再次进行选举,产生新的Leader,以保证服务的可用

ZooKeeper入门,看这篇就够了!

六、初の体验

首先在 官网 下载ZooKeeper,我这里用的是3.3.6版本。

然后解压,复制一下/conf目录下的zoo_sample.cfg文件,重命名为zoo.cfg。

修改zoo.cfg中dataDir的值,并创建对应的目录:

ZooKeeper入门,看这篇就够了!

最后到/bin目录下启动,我用的是window系统,所以启动zkServer.cmd,双击即可:

ZooKeeper入门,看这篇就够了!

启动成功的话就可以看到这个对话框:

ZooKeeper入门,看这篇就够了!

可视化界面的话,我推荐使用 ZooInspector ,操作比较简便:

ZooKeeper入门,看这篇就够了!

6.1 使用java连接ZooKeeper

首先引入Maven依赖:

<dependency>
    <groupId>org.apache.zookeeper</groupId>
    <artifactId>zookeeper</artifactId>
    <version>3.4.6</version>
</dependency>
复制代码

接着我们写一个Main方法,进行操作:

//连接地址及端口号
    private static final String SERVER_HOST = "127.0.0.1:2181";

    //会话超时时间
    private static final int SESSION_TIME_OUT = 2000;

    public static void main(String[] args) throws Exception {
        //参数一:服务端地址及端口号
        //参数二:超时时间
        //参数三:监听器
        ZooKeeper zooKeeper = new ZooKeeper(SERVER_HOST, SESSION_TIME_OUT, new Watcher() {
            @Override
            public void process(WatchedEvent watchedEvent) {
                //获取事件的状态
                Event.KeeperState state = watchedEvent.getState();
                //判断是否是连接事件
                if (Event.KeeperState.SyncConnected == state) {
                    Event.EventType type = watchedEvent.getType();
                    if (Event.EventType.None == type) {
                        System.out.println("zk客户端已连接...");
                    }
                }
            }
        });
        zooKeeper.create("/java", "Hello World".getBytes(), ZooDefs.Ids.OPEN_ACL_UNSAFE, CreateMode.PERSISTENT);
        System.out.println("新增ZNode成功");
        zooKeeper.close();
    }
复制代码

创建一个持久性ZNode,路径是/java,值为"Hello World":

ZooKeeper入门,看这篇就够了!

七、API概述

7.1 创建

public String create(final String path, byte data[], List<ACL> acl, CreateMode createMode)
复制代码

参数解释:

  • path ZNode路径
  • data ZNode存储的数据
  • acl ACL权限控制
  • createMode ZNode类型

ACL权限控制,有三个是ZooKeeper定义的常用权限,在ZooDefs.Ids类中:

/**
 * This is a completely open ACL.
 * 完全开放的ACL,任何连接的客户端都可以操作该属性znode
 */
public final ArrayList<ACL> OPEN_ACL_UNSAFE = new ArrayList<ACL>(Collections.singletonList(new ACL(Perms.ALL, ANYONE_ID_UNSAFE)));

/**
 * This ACL gives the creators authentication id's all permissions.
 * 只有创建者才有ACL权限
 */
public final ArrayList<ACL> CREATOR_ALL_ACL = new ArrayList<ACL>(Collections.singletonList(new ACL(Perms.ALL, AUTH_IDS)));

/**
 * This ACL gives the world the ability to read.
 * 只能读取ACL
 */
public final ArrayList<ACL> READ_ACL_UNSAFE = new ArrayList<ACL>(Collections.singletonList(new ACL(Perms.READ, ANYONE_ID_UNSAFE)));
复制代码

createMode就是前面讲过的四种ZNode类型:

public enum CreateMode {
    /**
     * 持久性ZNode
     */
    PERSISTENT (0, false, false),
    /**
     * 持久性自动增加顺序号ZNode
     */
    PERSISTENT_SEQUENTIAL (2, false, true),
    /**
     * 临时性ZNode
     */
    EPHEMERAL (1, true, false),
    /**
     * 临时性自动增加顺序号ZNode
     */
    EPHEMERAL_SEQUENTIAL (3, true, true);
}
复制代码

7.2 查询

//同步获取节点数据
public byte[] getData(String path, boolean watch, Stat stat){
    ...
}

//异步获取节点数据
public void getData(final String path, Watcher watcher, DataCallback cb, Object ctx){
    ...
}
复制代码

同步getData()方法中的stat参数是用于接收返回的节点描述信息:

public byte[] getData(final String path, Watcher watcher, Stat stat){
    //省略...
    GetDataResponse response = new GetDataResponse();
    //发送请求到ZooKeeper服务器,获取到response
    ReplyHeader r = cnxn.submitRequest(h, request, response, wcb);
    if (stat != null) {
        //把response的Stat赋值到传入的stat中
        DataTree.copyStat(response.getStat(), stat);
    }
}
复制代码

使用同步getData()获取数据:

//数据的描述信息,包括版本号,ACL权限,子节点信息等等
    Stat stat = new Stat();
    //返回结果是byte[]数据,getData()方法底层会把描述信息复制到stat对象中
    byte[] bytes = zooKeeper.getData("/java", false, stat);
    //打印结果
    System.out.println("ZNode的数据data:" + new String(bytes));//Hello World
    System.out.println("获取到dataVersion版本号:" + stat.getVersion());//默认数据版本号是0
复制代码

7.3 更新

public Stat setData(final String path, byte data[], int version){
    ...
}
复制代码

值得注意的是第三个参数version, 使用CAS机制,这是为了防止多个客户端同时更新节点数据,所以需要在更新时传入版本号,每次更新都会使版本号+1 ,如果服务端接收到版本号,对比发现不一致的话,则会抛出异常。

所以,在更新前需要先查询获取到版本号,否则你不知道当前版本号是多少,就没法更新:

//获取节点描述信息
    Stat stat = new Stat();
    zooKeeper.getData("/java", false, stat);
    System.out.println("更新ZNode数据...");
    //更新操作,传入路径,更新值,版本号三个参数,返回结果是新的描述信息
    Stat setData = zooKeeper.setData("/java", "fly!!!".getBytes(), stat.getVersion());
    System.out.println("更新后的版本号为:" + setData.getVersion());//更新后的版本号为:1
复制代码

更新后,版本号增加了:

ZooKeeper入门,看这篇就够了!

如果传入的版本参数是"-1",就是告诉zookeeper服务器,客户端需要基于数据的最新版本进行更新操作。但是-1并不是一个合法的版本号,而是一个标识符。

7.4 删除

public void delete(final String path, int version){
    ...
}
复制代码
  • path 删除节点的路径
  • version 版本号

这里也需要传入版本号,调用getData()方法即可获取到版本号,很简单:

Stat stat = new Stat();
zooKeeper.getData("/java", false, stat);
//删除ZNode
zooKeeper.delete("/java", stat.getVersion());
复制代码

7.5 watcher机制

在上面第三点提到,ZooKeeper是可以使用通知监听机制,当ZNode发生变化会收到通知消息,进行处理。基于watcher机制,ZooKeeper能玩出很多花样。怎么使用?

ZooKeeper的通知监听机制,总的来说可以分为三个过程:

①客户端注册 Watcher ②服务器处理 Watcher ③客户端回调 Watcher客户端。

注册 watcher 有 4 种方法,new ZooKeeper()、getData()、exists()、getChildren()。下面演示一下使用exists()方法注册watcher:

首先 需要实现Watcher接口 ,新建一个监听器:

public class MyWatcher implements Watcher {
    @Override
    public void process(WatchedEvent event) {
        //获取事件类型
        Event.EventType eventType = event.getType();
        //通知状态
        Event.KeeperState eventState = event.getState();
        //节点路径
        String eventPath = event.getPath();
        System.out.println("监听到的事件类型:" + eventType.name());
        System.out.println("监听到的通知状态:" + eventState.name());
        System.out.println("监听到的ZNode路径:" + eventPath);
    }
}
复制代码

然后调用exists()方法,注册监听器:

zooKeeper.exists("/java", new MyWatcher());
//对ZNode进行更新数据的操作,触发监听器
zooKeeper.setData("/java", "fly".getBytes(), -1);
复制代码

然后在控制台就可以看到打印的信息:

ZooKeeper入门,看这篇就够了!

这里我们可以看到 Event.EventType对象就是事件类型 ,我们可以对事件类型进行判断,再配合 Event.KeeperState通知状态 ,做相关的业务处理,事件类型有哪些?

打开EventType、KeeperState的源码查看:

//事件类型是一个枚举
public enum EventType {
    None (-1),//无
    NodeCreated (1),//Watcher监听的数据节点被创建
    NodeDeleted (2),//Watcher监听的数据节点被删除
    NodeDataChanged (3),//Watcher监听的数据节点内容发生变更
    NodeChildrenChanged (4);//Watcher监听的数据节点的子节点列表发生变更
}

//通知状态也是一个枚举
public enum KeeperState {
    Unknown (-1),//属性过期
    Disconnected (0),//客户端与服务端断开连接
    NoSyncConnected (1),//属性过期
    SyncConnected (3),//客户端与服务端正常连接
    AuthFailed (4),//身份认证失败
    ConnectedReadOnly (5),//返回这个状态给客户端,客户端只能处理读请求
    SaslAuthenticated(6),//服务器采用SASL做校验时
    Expired (-112);//会话session失效
}
复制代码

7.5.1 watcher的特性

  • 一次性。一旦watcher被触发,ZK都会从相应的存储中移除。
zooKeeper.exists("/java", new Watcher() {
        @Override
        public void process(WatchedEvent event) {
            System.out.println("我是exists()方法的监听器");
        }
    });
    //对ZNode进行更新数据的操作,触发监听器
    zooKeeper.setData("/java", "fly".getBytes(), -1);
    //企图第二次触发监听器
    zooKeeper.setData("/java", "spring".getBytes(), -1);
复制代码
ZooKeeper入门,看这篇就够了!
  • 串行执行。客户端Watcher回调的过程是一个串行同步的过程,这是为了保证顺序。
zooKeeper.exists("/java", new Watcher() {
        @Override
        public void process(WatchedEvent event) {
            System.out.println("我是exists()方法的监听器");
        }
    });
    Stat stat = new Stat();
    zooKeeper.getData("/java", new Watcher() {
        @Override
        public void process(WatchedEvent event) {
            System.out.println("我是getData()方法的监听器");
        }
    }, stat);
    //对ZNode进行更新数据的操作,触发监听器
    zooKeeper.setData("/java", "fly".getBytes(), stat.getVersion());
复制代码

打印结果,说明先调用exists()方法的监听器,再调用getData()方法的监听器。因为exists()方法先注册了。

ZooKeeper入门,看这篇就够了!
  • 轻量级。WatchedEvent是ZK整个Watcher通知机制的最小通知单元。WatchedEvent包含三部分: 通知状态,事件类型,节点路径 。Watcher通知仅仅告诉客户端发生了什么事情,而不会说明事件的具体内容。

写在最后

我记得B站的UP主李永乐说过, 只有你让更多的人生活变得更美好时,自己的生活才能变得更美好。

ZooKeeper入门,看这篇就够了!

这句话也是我今年开始写技术分享的一个动力源泉,希望这篇文章对你有用~

著名的飞行家 马老师 说过: 回城是收费的,而点赞是免费的~

ZooKeeper入门,看这篇就够了!
原文  https://juejin.im/post/5f05e96c5188252e5e22d8f4
正文到此结束
Loading...