转载

UEBA架构设计之路(五): 概率后缀树模型

作者:mcvoodoo

上篇引言

UEBA通过机器学习对用户、实体进行分析,不管这种威胁是不是已知,也包括了实时和离线的检测方式,能得到一个直观的风险评级和证据分析,让安全人员能够响应异常和威胁。

到底是怎样的整体架构呢?我就不再介绍了,没看过前面篇章的朋友,可以点击下面链接,去看看:

  • UEBA架构设计之路1:UEBA框架

  • UEBA架构设计之路2:数据接入和准备

  • UEBA架构设计之路3:复杂事件处理引擎

  • UEBA架构设计之路4:异常、威胁指标和威胁

已经看过的朋友,咱继续。

后面的章节则会介绍各种组件的细节,包括数据接入和准备引擎,处理引擎,实时/离线配置,机器学习模型和不同应用,交互等。

七、概率后缀树模型

传统技术只关注单一事件,但实际上单一事件正常,并不代表整体正常。在UEBA中,用了许多模型来发现异常,概率后缀数则是对异常序列进行检测的方法。序列可以对任何符号检测(符号是指特定类型的安全事件,例如连接失败、密码重置、文件访问等,机器可以观察到的事件)。事件类型符号用单个字符(例如,x,y,z)或整数(例如,0,1)表示,概率后缀数Probabilistic Suffix Tree,本文简化为PST模型。

具体来说:给定多个符号的观察窗口,则PST模型可预测下一个符号,通过异常计数识别异常。PST模型需要训练才能更准确预测,可以有一组特定历史符号训练,这组训练量要能确定预测是否可信。训练通常包括固定时间、固定数量、自动训练等方法,固定时间和固定数量都好理解,自动训练则是直到模型满足某个标准,例如收敛、得分向量和其他模型比较等标准。为了把计算复杂度保持在合理程度,训练也可小量,只训练四到五个符号。这种序列分析方法利用了“可以记忆”的PST特性。PST模型的序列生成过程可被建模为可变长度马尔可夫链,类似于有限状态自动机生成。PST模型的存储容量可以通过历史符号的最大长度来控制,历史符号则是概率后缀树的深度,并且是马尔可夫链长度。

在训练PST模型之后,能够可靠预测下一个符号。换句话说,给定多个符号历史,PST模型可针对实体看到下一个符号的整个概率分布,下一个符号的概率标示为P(下一个I历史),也称之为预测。例如,PST模型生成P(a|aabcd)=0.1, P(b|aabcd)=0.8, P(c|aabcd)=0.1, 和P(d|aabcd)=0,这个意思是,给定历史“aabcd”,预测下一符号是“a”的概率为10%,“b”是80%,“c”是10%,“d”不可能是下一个符号。如果下一个符号是“d”,由于“d”的概率非常低,所以该事件是罕见的,则触发异常。当PST模型预测符号出现概率小于阈值(例如0.1%)时,异常符号出现。

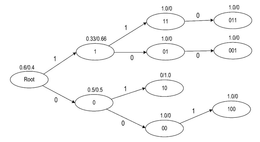
UEBA架构设计之路(五): 概率后缀树模型

上图是PST模型训练示例,PST的深度是3。

由于不同类型实体行为特征不同,为了进一步增强预测准确性,PST模型可以首先建立特定实体基线,使用连续预测的分析窗口来构建这个基线,说人话就是:对于特定实体,了解特定窗口有多少异常事件时是正常的。

当PST模型训练完成后,记录下一个符号预测结果,利用这个额外的基线预测剖面图层,PST模型可以更加稳健抵御噪声,降低误报。换句话说,假设在分析窗口有10个异常符号是正常的,那么模型可以通过基线预测剖面学习,减少误报概率。分析窗口表示为“W”,分析窗口的长度可以表示为| W |。

UEBA架构设计之路(五): 概率后缀树模型

上图说明概率后缀树的模型的训练,基线预测的建立,以及模型版本的激活。

分析窗口可以根据需要调整,例如对阈值低于长度的预测数量比率R计数来评估分析窗口,R也就是稀有分数。举例来说,长度为10的分析窗口内,有4个预测值低于0.01%,则该分析窗口中异常事件的比率R为4/10(或R = 0.4)。

PST模型准备就绪之后,通过将分析窗口滑动一定时间长度,收集每个分析窗口内的预测。时间长度标示为基线预测分析阶段图,然后用柱状图观察比率,柱状图记录了特定用户的常用R,也即是一段时间内重复执行每个分析窗口的预测,这个时间段时分析窗口长度的N倍(即,N×| W |)。在PST模型ready后的一段时间内,跟踪每个分析窗口的R并存储在柱状图,这个学习的柱状图表示为“H”,利用这个柱状图,任何新的R,PST模型就可以产生P(R | H)。P(R | H)是在给定先前Rs的历史的情况下看到具有比率R窗口的概率,以这种方式,可以构建特定实体的基线预测。

构建柱状图后,激活PST模型开始检测,进入了评分阶段,为了检测异常,首先记录稀有序列。具体来说,激活模型后,使用目标窗口识别稀有序列。类似基线分析阶段评分过程,PST模型生成预测并计算给定目标窗口的比率R,对目标窗口进行评分。为了更好的预测精度,可将目标窗口的大小设置为与分析窗口相同,在为目标窗口生成R之后,PST模型参考柱状图找到具有该级别的至少R窗口概率,如果该概率(即,P(R | H))低于某个阈值(,则PST模型确定该特定目标窗口是异常,并记录该异常窗口。

另外在实际中,也可使用可疑窗口扩大技术,这样可以完全的捕获异常。当目标窗口具有具有足够低概率的R时,启动窗口收集过程,可疑窗口扩大技术目的是扩展异常活动窗口,尝试在单个窗口内尽可能多包括相关异常。这个技术让原始目标窗口发现异常时扩展到指定大小,但需要注意,窗口可以扩展的时间越长,所需的内存就越大,展开的窗口可以表示为“E,“其中| E | 等于或大于| W |。

为了实现可疑窗口扩大,在检测到目标窗口中的异常R时,PST模型固定目标窗口的起点并开始增加窗口的大小。当正常R的下一个窗口时,异常窗口的收集过程停止。

将上述收集的异常窗口与稀有窗口的数据库进行比较,每次有一个新的稀有窗口时,引用该数据库以检查过去是否存在任何“类似”罕见窗口。这种罕见窗口缓存技术的基本原理是:过去多次观察到的罕见窗口往往比罕见的活动窗口“异常”,这种活动窗口与之前不同,例如对是否共享帐户的发现就可使用此技术。

对于给定的序列,为了确定系统之前是否已经看到,PST模型能够将两个序列相互比较,通过使用两个度量的组合,余弦相似性和Jaccard相似性。

PST-SIM:余弦相似性(PST-SIM)的PST实现是表示两个序列的两个向量之间的余弦相似性。每个载体由通过训练每个序列的分离PST而学习的概率组成,PST-SIM度量可用于捕获两个序列的频繁子序列之间的相似性。

JAC-SIM:Jaccard相似性的PST实现(也称为Jaccard索引)是两个序列中符号之间的Jaccard相似性。它可以定义为JAC-SIM(A,B)= | A交点B | / | A union B |该JAC-SIM度量对于少数不同符号的存在给予了更多权重,不考虑符号的出现频率和顺序。

因为观察到这两个度量具有不同的目标,所以采用两个度量的组合。PST-SIM强调符号分布的更大整体图像,并评估了分布的相似程度。而JAC-SIM对两个序列之间符号的存不存在更敏感。换句话说,与另一个序列相比,一个序列中存在的新符号越多,JAC-SIM结果就越不同。相反,如果仅缺少几个符号,并且其余的公共符号在两个序列中以相同或相似的方式出现,则PST-SIM结果不受少数缺失符号的影响。通过Sim(S1,S2)= 0.5×PST-SIM(S1,S2)+ 0.5×JAC-SIM(S1,S2)计算两个序列之间的相似性。

为了查看PST训练是否已开始收敛到另一个PST时,需要比较两个PST。PST包含训练中使用的所有符号的条件和边际概率。因此,比较两个PST的一种方法是对两个PST进行矢量化,并逐个比较它们相应的概率。在对PST进行矢量化之后,产生两个概率矢量,可以使用合适的矢量相似性度量(例如,欧几里德距离或余弦相似度)来比较两个PST。

考虑具有三个可能符号{x,y,z}和深度为2的PST的情况,意味着PST模型最多查看两个历史符号以预测下一个符号。假设边际概率是P(x)= 0.8,P(y)= 0.15,并且P(z)= 0.05,并且条件概率是P(x | xx)= 0.7,P(y | xx)= 0.3,P(z | y)= 1.0,依此类推。然后,对于两个序列A和B,表1是两个序列的PST的两个概率向量的示例。

P(x)

P(y)

P(Z)

P(X | XX)

P(Y | XX)

P(Z | Y)

. . .

PST-A

0.8

0.15

0.05

0.7

0.3

1

. . .

PST-B

0.6

0.4

0

1

0.4

0.8

. . .

对于每个稀有序列,也就是矢量化PST,PST摘要保持在稀有窗口高速缓存。由于序列的PST摘要包括所有概率信息,因此可以将PST摘要视为罕见的窗口签名。表示罕见序列的PST摘要可用于与另一序列进行比较。另外对于每个罕见窗口,罕见窗口缓存保持已经观察到稀有窗口的次数的记录,可以保存多天。通过这种方式,当出现新的罕见窗口时,PST模型则检查稀有窗口缓存确定之前是否出现了新的罕见窗口,如果是肯定的话,有多少次、多少天不同。这个信息可用于确定新稀有窗口是否需要发出警报。

UEBA架构设计之路(五): 概率后缀树模型

上图是概率后缀树模型的一个正常行为序列,和下面这个比较一下:

UEBA架构设计之路(五): 概率后缀树模型

这个图则是异常行为序列,从这两个图可以看出,即使在多用户协作的复杂环境,PST模型也可区分出异常。而异常则可以再用户交互这里呈现给用户,如下图。界面包括文本描述,哪个用户异常,什么样的异常,窗口内多少个事件,持续时间等。

UEBA架构设计之路(五): 概率后缀树模型

此外可向用户显示异常序列时间轴,如下图按照时间轴显示,用户可在每个时间轴点击进行交互。

UEBA架构设计之路(五): 概率后缀树模型

以这些方式,PST模型可让整个系统确定:事件序列是否偏离预期基线,从而发现异常。并提供直观方式让用户接收警报,理解相关信息作出决定。

未完待续

声明:本文来自唯品会安全应急响应中心,版权归作者所有。文章内容仅代表作者独立观点,不代表安全内参立场,转载目的在于传递更多信息。如需转载,请联系原作者获取授权。

原文  https://www.secrss.com/articles/8986
正文到此结束
Loading...